血液透析用水处理设备注册审查指导原则(2024年修订版)(2024年第19号)
附件:血液透析用水处理设备注册审查指导原则(2024年修订版)(2024年第19号).doc血液透析用水处理设备注册审查指导原则(2024年修订版)本指导原则旨在指导注册申请人对血液透析用水处理设备注册申报资料的准备及撰写,同时也为技术审评部门提供参考。本指导原则是对血液透析用水处理设备的一般要求,注册申请人依据产品的具体特性确定其中内容是否适用。若不适用,要具体阐述理由及相应的科学依据,并依据产
来源:医疗器械注册代办 发布日期:2011-03-24 阅读量:次
附件:体外诊断试剂分析性能评估(准确度-方法学比对)技术审查指导原则(食药监办械函[2011]116号).doc
准确度评估资料是评价拟上市产品有效性的重要依据,也是产品注册所需的重要申报资料之一。定量检测方法的方法学比对试验是评估准确度的方法之一,可以与参考方法或临床公认质量较好的已上市产品进行比对。
本指导原则基于国家食品药品监督管理局《体外诊断试剂注册管理办法(试行)》的有关要求,参考CLSI有关标准,对采用方法学比对进行准确度评估的实验方法和数据处理方法进行了原则性要求。其目的是为生产企业采用方法学比对进行准确度评估并准备准确度评估资料提供原则性指导,也为注册管理部门审核该部分分析性能评估资料提供技术参考。
由于体外诊断试剂产品发展速度快、专业跨度大,国家食品药品监督管理局将根据体外诊断试剂发展的需要,适时对本指导原则进行修订。
本指导原则适用于首次申请注册、申请许可事项变更的用于定量检测的体外诊断产品。因体外诊断产品评价是将仪器、试剂、质控品、校准品等作为一个系统进行评价,因此方法学比对的评价采用系统的概念进行描述。如特殊产品不适用于本指导原则,可进行详细说明并采用适当的方法进行准确度评价。
(一)方法学比对实验的基本要求
1.操作者应熟悉待评价系统和比对系统的操作。
2.编写系统标准操作规程,其中包括校准程序和室内质控程序,采用合适的校准品、质控品并保持仪器处于正常状态。
3.比对系统的选择
比对系统应具有以下条件:
(1)具有比待评价系统更好的精密度;
(2)同待评价系统检测结果具有相同的单位;
(3)如有参考方法应具有与参考方法已知的偏差。
比对系统应该选择正确性经过验证的系统,根据实际条件,选择的顺序如下:参考方法、原装系统、配套系统、经过验证的非配套系统。
4.待评价系统的处理
进行方法学对比实验前,应该对待评价系统进行初步评价,并且对待评价系统进行精密度及线性的评价(参考相关标准),只有在以上评价完成并且符合相关标准要求后,才可进行方法学对比实验。
(二)方法学比对实验的评估及数据处理方法
1.实验样本的基本要求
(1)按照实验对样本的要求收集处理病人样本,样本贮存时间及条件由被测组分的稳定性而定,尽可能避免使用贮存的样本。
(2)样本应来自于不同患者,并且此患者所患疾病对于被测组分的影响应该是已知的,样本不应含有干扰此方法的组分。
(3)样本浓度应在方法的线性范围内,并覆盖医学决定水平。通常基本从线性范围的低限到线性范围的高限(应至少有50%的样本在参考范围以外,但在线性范围内)。分析样本的浓度应尽可能在线性范围内均匀分布。商品质控物或者校准物可能存在基质效应,应避免使用。
2.实验过程
(1)每天选择8个临床患者样本,按1到8的顺序编号。用两种方法同时进行实验,按照1,2,3,4,5,6,7,8,8,7,6,5,4,3,2,1的样本顺序进行测定。
(2)以上实验至少重复5天,即至少分析40个不同的临床患者样本。每天实验必须进行校准和室内质控,只有在室内质控合格的情况下,当天的实验室数据才有效。
3.数据处理及结果报告
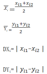
(1)记录测定结果(Xij和Yij),
Xij 为比对系统测定值
Yij为待评价系统测定值
i为测定样本的序号(1、2、3...40)
j为同一样本同一天测定的次序(1、2)
(2)计算每个样本测定的均值(Xi和Yi),样本重复测定间差值的绝对值(DXi和DYi)及两种方法测定结果间的均值差值(Yi-Xi)。相关实验记录见表1。
表1
| 比对系统 | 待评价系统 | |||||||
| 样本编号i | Xi1 | Xi2 | Xi | DXi | Yi1 | Yi2 | Yi | DYi | 
| 1 | ||||||||
| 2 | ||||||||
| 3 | ||||||||
| 4 | ||||||||
| ┆ | ||||||||
| 40 | ||||||||
注: i=1、2┄40。
![体外诊断试剂分析性能评估(准确度-方法学比对)技术审查指导原则(食药监办械函[2011]116号)(图1) 体外诊断试剂分析性能评估(准确度—方法学比对)技术审查指导原则(食药监办械函[2011]116号)(图1)](/uploads/allimg/220114/112ICT8-0.png)
(3)以Yi对Xi作散点图。
(4)以(Yi-Xi)对做偏倚图。
(5)以(Yij-Xij)对做偏倚图。
(6)检查批内离群点:计算样本重复测定间差值(DXi 和DYi)的平均数,
![体外诊断试剂分析性能评估(准确度-方法学比对)技术审查指导原则(食药监办械函[2011]116号)(图7) 体外诊断试剂分析性能评估(准确度—方法学比对)技术审查指导原则(食药监办械函[2011]116号)(图2)](/uploads/allimg/220114/112IA1K-6.png)
样本重复测定间差值超出该平均数4倍时,则判断为离群点,如离群点超过1个时,整组数据应舍弃,寻找原因后重新进行评价。如离群点为1个,可以补充数据后重新进行统计。
(7)检查批间离群点:计算两种方法测定结果间均值差值(│Yi-Xi│)的平均数,如两种方法测定结果间均值差值超出该平均数4倍时,则判断该样本为离群点,如离群点超过1个时,整组数据应舍弃,寻找原因后重新进行评价。如离群点为1个,可以补充数据后重新进行统计。
(8)相关系数计算:利用所有样本双份测定值进行相关系数计算,如果r≥0.975(或r2≥0.95),则认为选择的数据范围适合,数据满足要求。该分析的误差可以由数据范围给以适当补偿,并且可以采用简单的线性回归来评价斜率和截距。
如果r2<0.95,那么必须通过分析另外一些样品以扩大数据范围,然后再检查全部数据系列,如仍然r2<0.95,则应寻找待评价方法存在的缺陷,纠正后重新进行试验。
对于某些免疫项目,可适当放宽标准,原则上r2≥0.90,则认为数据范围适合,数据满足要求。
(9)回归计算:利用所有样本双份测定的有效数据,计算两个方法间的线性回归方程:Y= bX+a。
(10)偏差估计:在医学决定水平,利用回归方程计算预期偏差,预期偏差Bx=a+(b-1)X,相对偏差=Bx/X。
(11)结果评估:结果至少应满足相关国际及国家标准,同时满足临床需求。
(一)采用的患者样本对于被测组分的影响应该是已知的,样本不应含有干扰此检测方法的组分。
(二)样本贮存时间及条件由被测组分的稳定性而定,尽可能避免使用贮存的样本。
(三)实验前必须对待评价系统进行精密度及线性的评价,评价合格后方可进行实验。
(一)待评价系统:拟进行性能评估的产品。
(二)比对系统:参考方法(系统)或临床公认质量较好的已上市产品。
EP9-A2: Method comparison and bias estimation using patient samples; Approved Guideline-Second Edition.

站点声明
本网站所提供的信息仅供参考之用,并不代表本网赞同其观点,也不代表本网对其真实性负责。图片版权归原作者所有,如有侵权请联系我们,我们立刻删除。如有关于作品内容、版权或其它问题请于作品发表后的30日内与本站联系,本网将迅速给您回应并做相关处理。
                          郑州思途医疗科技有限公司专注于医疗器械产品政策与法规规事务服务,提供产品注册备案申报代理、临床试验、体系建立辅导、分类界定、申请创新办理服务。
        附件:血液透析用水处理设备注册审查指导原则(2024年修订版)(2024年第19号).doc血液透析用水处理设备注册审查指导原则(2024年修订版)本指导原则旨在指导注册申请人对血液透析用水处理设备注册申报资料的准备及撰写,同时也为技术审评部门提供参考。本指导原则是对血液透析用水处理设备的一般要求,注册申请人依据产品的具体特性确定其中内容是否适用。若不适用,要具体阐述理由及相应的科学依据,并依据产
        本指导原则旨在帮助和指导注册申请人对一次性使用腹部穿刺器注册申报资料进行准备,以满足技术审评的基本要求。同时有助于审评机构对该类产品进行科学规范的审评,提高审评工
        附件:一次性使用医用冲洗器产品注册审查指导原则(2022年第41号).doc一次性使用医用冲洗器产品注册审查指导原则本指导原则旨在指导注册申请人对一次性使用医用
        国家药监局器审中心关于发布影像型超声诊断设备(第三类)注册审查指导原则(2023年修订版)的通告(2024年第29号)发布时间:2024-10-14为进一步规范
        国家药监局药审中心关于发布《抗肿瘤药物临床试验中SUSAR分析与处理技术指导原则》的通告(2024年第42号) 发布日期:20241010
        附件:重组胶原蛋白创面敷料注册审查指导原则(2023年第16号).doc重组胶原蛋白创面敷料注册审查指导原则本指导原则旨在指导注册申请人准备及撰写重组胶原蛋白创
        国家药监局关于发布免于临床试验的体外诊断试剂临床评价技术指导原则的通告(2021年第74号)发布时间:2021-09-24为指导体外诊断试剂的临床评价工作,根据
        附件:医用透明质酸钠创面敷料注册审查指导原则(2024年第21号).doc医用透明质酸钠创面敷料注册审查指导原则本指导原则旨在指导注册申请人准备及撰写医用透明质酸钠创面敷料注册申报资料,同时也为技术审评部门审查注册申报资料提供参考。本指导原则是对医用透明质酸钠创面敷料产品的一般要求,注册申请人应依据产品的具体特性确定其中内容是否适用,若不适用,需具体阐述理由及相应的科学依据,并依据产品的具体特性对
        附件:康复类数字疗法软件产品分类界定指导原则(2025年第27号).doc康复类数字疗法软件产品分类界定指导原则一、目的为指导康复类数字疗法软件产品管理属性和管
        为提高医疗器械技术审评的规范性和科学性,指导医疗器械注册人/备案人编写产品技术要求,根据《医疗器械监督管理条例》及《医疗器械注册与备案管理办法》《体外诊断试剂注册与
行业资讯
知识分享
八年
医疗器械服务经验
联系思途,免费获得专属《落地解决方案》及报价
咨询相关问题或咨询报价,可以直接与我们联系
思途CRO——医疗器械注册临床第三方平台
