长江三角洲区域医疗器械注册人制度试点工作实施方案(试行)(沪药监械管〔2019〕112号)
为深入贯彻落实中共中央办公厅、国务院办公厅印发的《关于深化审评审批制度改革鼓励药品医疗器械创新的意见》(厅字〔2017〕42号),按照国家药品监督管理局《关于扩大医疗器械
来源:医疗器械注册代办 发布日期:2025-09-10 阅读量:次
附件:血流变分析仪注册审查指导原则(2025年第20号).doc
本指导原则旨在指导注册申请人对血流变分析仪注册申报资料的准备及撰写,同时也为技术审评部门对注册申报资料的技术审评提供参考。
本指导原则是对血流变分析仪的一般要求,申请人应依据产品的具体特性确定其中内容是否适用,若不适用,需具体阐述理由及相应的科学依据,并依据产品的具体特性对注册申报资料的内容进行充实和细化。
本指导原则是供申请人和审查人员使用的指导文件,不涉及注册审批等行政事项,亦不作为法规强制执行,如有能够满足法规要求的其他方法,也可以采用,但应提供详细的研究资料和验证资料。应在遵循相关法规的前提下使用本指导原则。
本指导原则是在现行法规、标准体系及当前认知水平下制定的,随着法规、标准体系的不断完善和科学技术的不断发展,本指导原则相关内容也将适时进行调整。
本指导原则适用于基于泊肃叶定律或牛顿粘性定律等原理,采用旋转式或毛细管式,用于临床对全血、血浆的血液流变特性进行分析的血流变分析仪(又称“血液流变仪”“血液粘度计”)。
对临床适用范围广泛,血液流变学检测只是其适用范围某一部分的临床分析仪器,可参照本指导原则准备相应分析部分的注册申报资料。
本指导原则针对血流变分析仪注册申报资料中的部分内容进行撰写,其他未尽事宜应当符合《关于公布医疗器械注册申报资料要求和批准证明文件格式的公告》等相关法规要求。
(一)监管信息
包括申请表、术语、缩写词列表、产品列表、关联文件、申报前与监管机构的联系情况和沟通记录、符合性声明等文件,重点关注以下内容。
1.产品名称
申请人应描述申报产品的通用名称及其确定依据。按照《医疗器械通用名称命名规则》、《临床检验器械通用名称命名指导原则》、《医疗器械分类目录》及相关法规的要求,产品通用名称由核心词和特征词组成,如全自动血液流变分析仪。
2.管理类别和分类编码
根据2017版《医疗器械分类目录》,管理类别为第Ⅱ类,所属分类子目录为22临床检验器械,一级产品类别为01血液学分析设备,二级产品类别为06血流变分析仪器,分类编码为22-01-06。
3.结构及组成
一般分为毛细管式和旋转式。毛细管式血流变分析仪通常由加样系统(如适用)、毛细管、样品池(如适用)、检测系统、控温系统、驱动系统、软件组件等组成;旋转式血流变分析仪通常由加样系统(如适用)、样品池、转速控制与调节系统、力矩测量系统、控温系统、软件组件等组成。
4.注册单元划分
参考《医疗器械注册单元划分指导原则》,若申报产品存在多个型号规格或配置,应根据产品的技术原理及其特点、结构及组成、性能指标、适用范围等关键要素进行注册单元划分。
结构及组成的不同对安全性和有效性有影响的情况,应划分为不同的注册单元,如全自动和半自动。
性能指标存在较大差异,导致适用范围或作用机理不同时,宜划分为不同的注册单元。
适用范围有实质不同的情况,应划分为不同的注册单元。
(二)综述资料
综述资料主要包括概述、产品描述、适用范围和禁忌证、申报产品上市历史及其他需说明的内容。重点关注以下内容:
1.产品描述
1.1工作原理
血液流变学检测研究的是血液及其成分的流动性和变形性规律,而血液粘度的测量是其中最重要的指标之一。血液粘度是反映血液流变性的综合指标,与血液循环的优劣或血液供应的多少密切相关。对于了解血液的流动性质和凝固性质及其在生理和病理条件下的变化规律具有重要意义。
牛顿流体是指任一点上的切应力都同切变率呈线性函数关系的流体。这种流体的粘度是恒定不变的,即切应力与切变率之比为恒定值。血浆可视为牛顿流体。凡是流体运动时其切应力与切变率不成线性关系的流体称为非牛顿流体。全血是非牛顿流体,在一定的切变范围内,全血粘度随切变率的变化而变化。
血液粘度的测定方法主要分为两大类:毛细管式粘度测定法和旋转式粘度测定法。
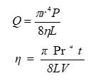
毛细管法测定原理基于泊肃叶定律,通过测量一定体积的液体流经毛细管所需的时间来计算液体的粘度。

其中,Q是流量;η是液体的粘度;P为促使液体在管中流动的压力;r为管道半径;t是流出时间;L是管道长度;V是流过的体积。
当液体流经毛细管时,流量Q与管道两端的压力差P、管道半径r成正比,并与管道长度L和流体粘度η成反比。具体来说,流量Q=V/t,其中V为流经毛细管的容积,t为流动的时间。由于r、L、P都可以在实验条件下恒定,若恒定体积V,则η∝t;因此,通过测定液体流经毛细管的时间t即可计算出液体粘度η。
毛细管法测定反映的是平均切变率。一定体积的液体,在恒定的压力驱动下,流过一定管径的毛细管所需的时间与粘度成正比。
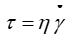
旋转法测定原理基于牛顿粘性定律,即:

其中,为切应力,η为液体的粘度,为切变率。
旋转法能够在不同切变率下测量全血的粘度,工作原理主要包括圆筒式和锥/板式。圆筒式由两个同轴圆筒组成,圆筒间隙内放入待测液体,内筒与一个弹簧游丝(悬丝)相连。一般固定内筒不动,外筒以已知角度旋转。血液分层流动把转动造成的力矩传到圆筒,这时圆筒会随之偏转一定的角度,血液粘度越大,则外筒转动传到内筒的力矩越大,内筒偏转角度也越大。通过测量液体加在内筒壁上的扭力矩,换算成液体的粘度。锥/板式由一个圆板和一个同轴圆锥组成,待测量的液体放在圆锥和圆板间隙内,一般固定圆板,圆锥旋转。通过测量液体加在圆锥上的扭力距换算成液体的粘度。
申请人应当根据申报产品的设计要求、结合结构组成及检测步骤、采用文字加图示的方式对产品工作原理及其实现机制进行详细描述。对于申报产品与其他上市产品不同的特殊设计、设计开发过程中的重点研究内容也应着重介绍。
1.2结构组成
不同生产企业的产品,在结构上存在一定差异,需根据具体产品特性准确描述结构组成,其内容应与检验报告的相关内容保持一致。
申请人应提供产品图示(含标识、接口、操控面板、应用部分等细节),含有多个组成部分的,应说明其连接或组装关系。申请人可提供产品工程图、关键组件工程图,重点描述力学、光学、电学、热学等关键组件(含传感器)的设计考量。申请人应描述产品的主要功能及其组成部件(如关键组件和软件等)的功能,以及区别于其他同类产品的特征等内容。
1.3型号规格
对于同一注册单元申报产品存在多种型号规格的,应当明确各型号规格之间的区别,应当采用表格加说明性文字的图片、图表,对各型号规格的结构组成、功能、性能指标、运行模式等内容进行描述。
申请人应明确产品的型号,描述产品的规格,例如,外观、物理尺寸、重量等。对于存在多种型号、规格产品,申请人应当明确各型号规格的区别,应当采用对比表或带有说明性文字的图片、图表,描述各种型号规格的结构组成(或配置)、功能、产品特征和运行模式、技术参数等内容。
1.4包装
概述产品包装信息及与该产品一起销售的配件包装信息,含配件清单。
2.产品适用范围
2.1预期用途
明确写明产品的预期用途,应包括检测原理、被测样本类型和预期检测项目类型。例如,“采用XX原理,用于临床对全血、血浆的血液流变特性进行分析。”检测原理,毛细管式采用泊肃叶定律,旋转式采用牛顿粘性定律。样本类型一般包括全血、血浆。流变特性一般指血浆粘度、在不同切变率下的全血粘度。
枸橼酸盐或草酸盐抗凝容易引起血细胞皱缩,使血液粘度增大。检测粘度的血标本不宜使用枸橼酸钠、草酸钠等容易使细胞形态变化的抗凝剂,宜使用肝素类抗凝剂或EDTA抗凝剂。
2.2预期使用环境
明确写明预期使用环境,包括申报产品预期使用的地点和预期使用的环境条件。
明确写明申报产品预期使用的地点,如医疗机构。
明确写明可能会影响申报产品安全性和有效性的环境条件,也即申报产品的正常工作条件,包括空间要求、温度、湿度、海拔高度/大气压强、电源要求等,对每一条件均应给出具体的指标要求,如温度范围在10℃~30℃。
2.3目标用户
明确写明目标用户为经专业培训的医疗机构的检验人员,并写明相关人员操作申报产品应当具备的基本能力要求和资格。
3.其它需说明的内容
申请人应说明与其组合使用实现预期用途的其他产品及其上市信息等。说明是否需与其他设备组合使用。
(三)非临床资料
非临床资料包括产品风险管理资料、医疗器械安全和性能基本原则清单、产品技术要求及检验报告、研究资料、非临床文献、稳定性研究、其他资料等,重点关注以下内容。
1.产品风险管理资料
依据GB/T 42062《医疗器械 风险管理对医疗器械的应用》,提供产品风险管理报告。风险分析至少应包括表1内容,申请人还应根据产品的自身特点确定其他危险。应按照GB/T 42062和YY/T 1437的要求对每种可能涉及的危险识别评估,为降低风险所执行风险控制,剩余风险的可接受性评定,产品受益相比综合评价,并形成风险管理报告。


2.产品技术要求及检验报告
2.1产品技术要求
注册申请人应按照《医疗器械产品技术要求编写指导原则》编写产品技术要求,性能指标应符合YY/T 1460《血液流变仪》的要求,包括功能性指标、安全性指标,具体至少包括正常工作条件、外观、功能、切变率显示的范围、温度准确性、波动性、准确度、重复性、样本携带污染(全自动分析仪适用)、样本加样量准确度(全自动分析仪适用)、连续工作时间、电气安全、电磁兼容、软件组件等要求。性能指标项目的具体要求应与性能研究资料保持一致,并具有确定的研究资料依据。电气安全应当符合适用的国家标准和行业标准中的要求。正常工作环境以产品标称为准,但需经相应环境试验验证。软件组件在“产品型号/规格及其划分说明”明确软件的名称、型号规格(如适用)、发布版本、版本命名规则。在“性能指标”明确软件的功能、使用限制、接口、访问控制、运行环境(如适用)、性能效率(如适用)等要求。对于专用型独立软件视为软件组件,除上述软件组件要求外,还需在“附录”中提供体系结构图、用户界面关系图与主界面图示、物理拓扑图以及必要的注释。环境试验要求无需列入产品技术要求中。
如产品有额外模块实现额外功能,应增加相应评价指标要求。
2.2检验报告
可提交申请人出具的自检报告或委托有资质的医疗器械检验机构出具的检验报告。提交自检报告需满足《医疗器械注册自检管理规定》的要求。提交委托检验报告的,委托检验机构应具有相应检验资质,按照《医疗器械检验工作规范》进行检验。
同一注册单元内所检验的产品应当是能够代表本注册单元内其他产品的安全性和有效性的典型产品。应考虑产品适用范围、性能指标、安全指标、结构组成等,选择功能最全、结构最复杂、风险最高的产品。若选择典型性型号检验,申报资料中应提供典型型号覆盖说明,具体原则如下:
(1)覆盖按最不利的原则确定,不能覆盖的差异性应分别检测。
(2)涉及安全性、有效性的关键件应一致,不一致的应分别检测。关键件一般包含:信号采集装置、电源变压器、用作瞬态过压限制装置的电路、显示屏、熔断器或熔断器座、设备外壳材料、高完善性元器件及电源开关等。
(3)当没有充足证据能够证明同一注册单元内不同型号规格产品之间电磁兼容性能可以覆盖时,应选取每一型号规格产品进行电磁兼容项目检测。
3.研究资料
3.1化学和物理性能研究
性能指标确定的依据应根据产品的工作原理描述设计输入来源以及临床意义,明确申报产品所采用的标准或方法、采用的原因及理论基础。适用的国家标准、行业标准中,如果有不适用的条款,也应将不适用的条款及理由予以说明。对于标准中未给出具体要求的性能指标,注册申请人应说明申报产品功能性能指标确定的依据。
注册申请人应根据申报产品的工作原理、测量原理合理制定性能参数,包括功能性、安全性指标(如电气安全与电磁兼容)。
申报产品各组成模块性能的研究资料:应根据综述资料中有关申报产品结构组成和各主要组成模块的情况进行,提供详细的研究资料,一般应包括对加样模块、温控模块、计时模块、样品传送及处理模块、检测模块的功能性指标或者模块中主要元器件功能性指标的研究资料(仅举例)。
申报产品临床项目分析性能的研究资料:建议申请人根据申报产品的工作原理及功能性指标,对主要性能进行系统性研究,至少包含准确度、精密度、样本携带污染率等。建议采用临床样本进行准确度研究,与已上市同类产品进行方法学比对。应采用临床样本对样本携带污染率进行研究。因产品单次检验样本用量较大,可采用临床样本或模拟样本进行精密度研究,若采用模拟样本,建议对模拟样本的基质效应进行研究。
3.2电气系统安全性研究
应当提供电气安全性、机械和环境保护以及电磁兼容性的研究资料,说明适用的标准以及开展的研究。
电气安全应当符合GB 4793.1、GB 4793.6、YY 0648及其他适用的国家标准和行业标准中的要求。
机械和环境保护可参照GB/T 14710《医用电器环境要求及试验方法》的要求。可采用其他等效或更优方法替代。在气候环境试验、机械环境试验和运输试验结束后应进行全项检验,中间检测应当为性能检验。
电磁兼容性应当符合GB/T 18268.1《测量、控制和实验室用的电设备 电磁兼容性要求 第1部分:通用要求》和GB/T 18268.26《测量、控制和实验室用的电设备 电磁兼容性要求 第26部分:特殊要求 体外诊断(IVD)医疗设备》及其他适用的国家标准和行业标准的要求。
具备能力的申请人可对上述项目自行研究,并提交详细的验证资料,不具备能力的申请人可通过委托有资质的医疗器械检验机构进行检验的方式对上述项目进行验证,以委托检验报告作为该部分的验证资料。
3.3软件及网络安全研究
应参照《医疗器械软件注册审查指导原则(2022年修订版)》的要求提供研究资料,内容包括基本信息、实现过程、核心功能、结论等内容,详尽程度取决于软件安全性级别(严重、中等、轻微)。其中,基本信息包括软件标识、安全性级别、结构功能、物理拓扑、运行环境、注册历史,实现过程包括开发概况、风险管理、需求规范、生存周期、验证与确认、可追溯性分析、缺陷管理、更新历史,明确核心功能、核心算法、预期用途的对应关系。
应参照《医疗器械网络安全注册审查指导原则(2022年修订版)》提供研究资料,基本信息包括软件信息、数据架构、网络安全能力、网络安全补丁、安全软件,实现过程包括风险管理、需求规范、验证与确认、可追溯性分析、更新维护计划,漏洞评估明确已知漏洞相关信息。
3.4清洁、消毒、灭菌研究
一般情况下,血流变分析仪与使用者表面皮肤接触,无需灭菌,由使用者常规擦拭或低水平消毒,可不提供消毒灭菌研究资料。若主机及配件涉及终端用户消毒,注册申请人应当明确推荐的消毒方法以及所推荐方法确定的依据及验证的相关研究资料。
3.5可用性工程研究
血流变分析仪属于中、低使用风险医疗器械,建议参考《医疗器械可用性工程注册审查指导原则》提交使用错误评估报告,包括基本信息、使用风险级别、核心要素、同类医疗器械上市后使用问题分析、使用风险管理、结论等内容。若前期已开展可用性工程工作,亦可提交可用性工程研究报告,用于替代使用错误评估报告。
4.稳定性研究
4.1使用稳定性
使用期限一般主要取决于使用过程中部件、元器件的损耗、老化等,注册申请人应按照声称的使用期限对设备进行老化/疲劳试验,也可对影响设备使用期限的关键部件进行老化/疲劳试验,例如设备中不可更换(或更换成本高)的部件,并提供相应的研究资料。研究资料应能证明上述部件按照所声称的使用期限,经过老化/疲劳试验后,产品性能和安全仍符合预期的要求。使用期限也可基于已有数据进行合理的推断、分析、计算得出,但应提供详细的说明及支持性资料。可参照《有源医疗器械使用期限技术审查指导原则》的要求。
4.2运输稳定性
注册申请人对包装和产品进行模拟试验,模拟在贮存和运输过程中,遇到极端情况时,例如环境(温湿度、气压等)变化、跌落、振动、加速度等,产品不会发生性能、功能改变,包装系统具有保护产品的能力。经过模拟试验后,观察包装外观是否有不可接受的异常现象,对产品进行性能测试,证明运输和环境测试后产品能够保持其完整性和功能性。环境试验可参考GB/T 14710《医用电器环境要求及试验方法》的要求,包装要求可参考GB/T 4857系列标准。
5.其他资料
血流变分析仪(22-01-06)属于列入《免于进行临床评价的医疗器械目录》(以下简称“目录”)中的产品,应当按照《列入免于进行临床评价医疗器械目录产品对比说明技术指导原则》,从基本原理、结构组成、性能、安全性、适用范围等方面,证明产品的安全有效性。
(四)临床评价资料
该产品列入《免于临床评价医疗器械目录》,申请人无需提交临床评价资料。
若申报产品与“目录”中产品结构组成、工作原理、适用范围不一致的,注册申请人应当依据所申报产品的结构组成、性能参数和适用范围等,应按相关指导原则进行临床评价。
(五)产品说明书和标签样稿
1.产品说明书
产品说明书应当符合《医疗器械说明书和标签管理规定》和YY/T 0466.1《医疗器械 用于制造商提供信息的符号 第1部分:通用要求》中的相关要求。产品说明书的内容均应有明确的来源,与综述资料、研究资料等注册申报资料的内容保持一致。结合产品特点重点关注以下内容:
主要结构组成:建议以实物照片/示意图加文字的形式对申报产品的整体结构进行描述,标明各主要模块的名称(应包含软件组件,并注明软件组件的名称、型号规格和发布版本)。建议以实物照片/透视图/俯视图/剖面图加文字的形式对各主要模块逐一进行描述,标明每一主要模块的主要组成结构和主要元器件的名称,对于重要元器件或功能零部件,建议单独进行描述。
性能指标建议写明以下内容:产品基本参数(主机尺寸、整机重量、开机预热时间、功耗等)、正常工作条件(温度、湿度、大气压力、电源要求)、电气安全(瞬态过压类别、污染等级)、电磁兼容信息(分组、分类)、检测时间、整机性能指标(切变率显示的范围、温度准确性、波动性、准确度、重复性、样本携带污染、样本加样量准确度、连续工作时间)、产品功能、软件等。
根据《医疗器械软件注册审查指导原则(2022年修订版)》,说明书需体现软件的功能、使用限制、输入输出数据类型、必备软硬件、最大并发数、接口、访问控制、运行环境(若适用)、性能效率(若适用)等信息,明确软件发布版本。
根据《医疗器械网络安全注册审查指导原则(2022年修订版)》,说明书需提供网络安全说明和使用指导,明确用户访问控制机制、电子接口(含网络接口、电子数据交换接口)及其数据类型和技术特征、网络安全特征配置、数据备份与灾难恢复、运行环境(含硬件配置、外部软件环境、网络环境,若适用)、安全软件兼容性列表(若适用)、外部软件环境与安全软件更新(若适用)、现成软件清单(SBOM,若适用)等要求。
2.标签样稿
应当符合《医疗器械说明书和标签管理规定》的要求,其内容应当至少包括第十三条规定的所有适用内容。
(六)质量管理体系文件
产品质量管理体系文件应符合《医疗器械生产质量管理规范》的要求,并按照《医疗器械注册申报资料要求及说明》提交资料。
[1]国家市场监督管理总局.医疗器械注册与备案管理办法:国家市场监督管理总局令第47号[Z].
[2]国家食品药品监督管理总局.医疗器械说明书和标签管理规定:国家食品药品监督管理总局令第6号[Z].
[3]国家药品监督管理局.医疗器械注册申报资料要求和批准证明文件格式:国家药监局公告2021年第121号[Z].
[4]国家药品监督管理局.医疗器械产品技术要求编写指导原则:国家药监局通告2022年第8号[Z].
[5]国家药品监督管理局医疗器械审评中心.医疗器械软件注册审查指导原则(2022年修订版):国家药监局器审中心通告2022年第9号[Z].
[6]国家食品药品监督管理局.医疗器械分类目录:国家食品药品监督管理总局公告2017年第104号[Z].
[7]国家食品药品监督管理局.医疗器械通用名称命名规则:国家食品药品监督管理总局令第19号[Z].
[8]国家药品监督管理局医疗器械审评中心.体外诊断试剂说明书编写指导原则(2023年修订版):国家药监局器审中心通告2024年第1号[Z].
[9]国家食品药品监督管理局.医疗器械注册单元划分指导原则:总局关于发布医疗器械注册单元划分指导原则的通告2017年第187号[Z].
[10]国家药品监督管理局.免于临床评价医疗器械目录:国家药监局通告2023年第33号[Z].
[11]GB/T 42062,医疗器械 风险管理对医疗器械的应用[S].
[12]GB 4793.1,测量、控制和实验室用电气设备的安全要求 第1部分:通用要求[S].
[13]GB 4793.6,测量、控制和实验室用电气设备的安全要求 第6部分:实验室用材料加热设备的特殊要求[S].
[14]GB/T 14710,医用电器环境要求及试验方法[S].
[15]GB/T 18268.1,测量、控制和实验室用的电设备 电磁兼容性要求 第1部分:通用要求[S].
[16]GB/T 18268.26,测量、控制和实验室用的电设备 电磁兼容性要求 第26部分:特殊要求 体外诊断(IVD)医疗设备[S].
[17]YY 0648,测量、控制和实验室用电气设备的安全要求 第2-101部分:体外诊断(IVD)医用设备的专用要求[S].
[18]YY/T 0466.1,医疗器械 用于医疗器械标签、标记和提供信息的符号 第1部分:通用要求[S].
[19]YY/T 1460,血液流变仪[S].
[20]喻超,哈小琴,韩冉,丛玉隆. 锥板法检测全血黏度标准化专家共识[J]. 中国医药导报, 2023, 20(22):4-7.
[21]Oguz K. Baskurt, Michel Boynard, Giles C.Cokelet, et al. New guidelines for hemorheological laboratory techniques[J]. Clinical Hemorheology and Microcirculation, 2009, 42:75-97.

站点声明
本网站所提供的信息仅供参考之用,并不代表本网赞同其观点,也不代表本网对其真实性负责。图片版权归原作者所有,如有侵权请联系我们,我们立刻删除。如有关于作品内容、版权或其它问题请于作品发表后的30日内与本站联系,本网将迅速给您回应并做相关处理。
郑州思途医疗科技有限公司专注于医疗器械产品政策与法规规事务服务,提供产品注册备案申报代理、临床试验、体系建立辅导、分类界定、申请创新办理服务。
为深入贯彻落实中共中央办公厅、国务院办公厅印发的《关于深化审评审批制度改革鼓励药品医疗器械创新的意见》(厅字〔2017〕42号),按照国家药品监督管理局《关于扩大医疗器械
为规范医疗器械注册人跨区域委托生产的监督管理,推进长江三角洲区域医疗器械跨区域监管,根据《中共中央办公厅国务院办公厅关于深化审评审批制度改革鼓励药品医疗器械创新的意见》《
附件:血液透析用水处理设备注册审查指导原则(2024年修订版)(2024年第19号).doc血液透析用水处理设备注册审查指导原则(2024年修订版)本指导原则旨在指导注册申请人对血液透析用水处理设备注册申报资料的准备及撰写,同时也为技术审评部门提供参考。本指导原则是对血液透析用水处理设备的一般要求,注册申请人依据产品的具体特性确定其中内容是否适用。若不适用,要具体阐述理由及相应的科学依据,并依据产
国家药监局关于发布免于进行临床评价医疗器械目录的通告(2025年第19号)发布时间:2025-05-13为做好医疗器械注册管理工作,根据《医疗器械注册与备案管理
附件:一次性使用医用冲洗器产品注册审查指导原则(2022年第41号).doc一次性使用医用冲洗器产品注册审查指导原则本指导原则旨在指导注册申请人对一次性使用医用
附件:医疗器械监督管理条例(2025年修订版).doc医疗器械监督管理条例(2000年1月4日中华人民共和国国务院令第276号公布 2014年2月12日国务院第
本指导原则旨在帮助和指导注册申请人对一次性使用腹部穿刺器注册申报资料进行准备,以满足技术审评的基本要求。同时有助于审评机构对该类产品进行科学规范的审评,提高审评工
附件:医用透明质酸钠创面敷料注册审查指导原则(2024年第21号).doc医用透明质酸钠创面敷料注册审查指导原则本指导原则旨在指导注册申请人准备及撰写医用透明质酸钠创面敷料注册申报资料,同时也为技术审评部门审查注册申报资料提供参考。本指导原则是对医用透明质酸钠创面敷料产品的一般要求,注册申请人应依据产品的具体特性确定其中内容是否适用,若不适用,需具体阐述理由及相应的科学依据,并依据产品的具体特性对
国家药监局器审中心关于发布影像型超声诊断设备(第三类)注册审查指导原则(2023年修订版)的通告(2024年第29号)发布时间:2024-10-14为进一步规范
国家市场监督管理总局令 第47号 《医疗器械注册与备案管理办法》已经2021年7月22日市场监管总局第11次局务会议通过,现予公布,自2021年10月1日起施行。 附件: 医疗器械注册与备案管
十年
医疗器械服务经验
联系思途,免费获得专属《落地解决方案》及报价
咨询相关问题或咨询报价,可以直接与我们联系
思途CRO——医疗器械注册临床第三方平台
