山东省医疗器械工艺用水现场检查指南(鲁药监械〔2021〕35号)
为规范医疗器械现场检查,提升检查员现场检查能力,指导检查员对医疗器械生产企业工艺用水控制情况的检查,提高企业工艺用水质量安全保证水平,依据《医疗器械监督管理条例》
来源:医疗器械注册代办 发布日期:2021-04-15 阅读量:次
附件:轮状病毒抗原检测试剂注册技术审查指导原则(2021年第24号).doc
本指导原则旨在指导注册申请人对轮状病毒抗原检测试剂注册申报资料的准备及撰写,同时也为技术审评部门审评申报资料提供参考。
本指导原则是对轮状病毒抗原检测试剂的一般要求,申请人应依据产品的具体特性确定其中内容是否适用,若不适用,需阐述理由及相应的科学依据。同时应根据产品的具体特性对研究内容进行充实和细化。
本指导原则是对申请人和审查人员的指导性文件,不涉及注册审批等行政事项,亦不作为法规强制执行,如有能够满足法规要求的其他合理方法也可以采用,并应提供详细的研究资料和验证资料。应在遵循相关法规的前提下使用本指导原则。
本指导原则是在现行法规、标准体系以及当前认知水平下制定的,随着法规、标准的不断完善和科学技术的不断发展,本指导原则相关内容也将适时进行调整。
轮状病毒(Rotavirus,RV)属于呼肠孤病毒科轮状病毒属。轮状病毒颗粒为球形,直径70~75nm,负染后在电镜下观察,病毒外形呈车轮状。轮状病毒基因组总长约18kb,由11个节段的双股RNA组成,分别编码6个结构蛋白(VP1~4,VP6和VP7)和5-6个非结构蛋白(NSP1~NSP5/6)。根据内层衣壳蛋白VP6的血清型,目前主要将轮状病毒分为A~G群。已知A、B、C群轮状病毒可致人类急性胃肠炎,其中A群轮状病毒最为常见,是引起婴幼儿急性肠胃炎的主要病原体之一。B群轮状病毒可在儿童和成人中暴发流行。C群轮状病毒的发病率相对较低。
轮状病毒根据VP6蛋白的两个抗原决定簇可分为4个亚群(Ⅰ,Ⅱ,Ⅰ+Ⅱ,非Ⅰ非Ⅱ)。根据VP7和VP4表达中和抗原的不同,又可分为多个血清型或基因型。VP7蛋白是糖基化的蛋白,决定G的血清型。VP4是蛋白酶敏感蛋白,决定P的血清型/基因型。目前世界范围内流行的A群轮状病毒主要为G1、G2、G3、G4、G9、G12等血清型,P分型主要为P[4]、P[8]和P[6]等基因型。我国常见的A群轮状病毒型别主要为G9P[8]、G3P[8]、G1P[8]、G2P[4]等。
轮状病毒可污染食物、水和环境等,主要通过粪-口途径传播。轮状病毒感染的典型症状为呕吐、腹痛、腹泻,部分伴发热,严重脱水和/或电解质紊乱者可能会出现休克、昏迷甚至死亡。
本指导原则适用于以抗原抗体反应为原理,对人粪便样本或其他适用样本中的轮状病毒进行体外定性检测的试剂,临床用于急性胃肠炎患者轮状病毒感染的辅助诊断。对于采用其他检测方法的试剂,有利之处可参照执行。
本指导原则适用于进行产品注册和相关许可事项变更的产品。其他未尽事宜应当符合《体外诊断试剂注册管理办法》(国家食品药品监督管理总局令第5号)(以下简称《办法》)等相关法规要求。
(一)综述资料
主要包括临床适应症背景情况、产品预期用途、产品描述、有关生物安全性的说明、有关产品主要研究结果的总结和评价以及其他内容。其中,产品描述应明确试剂盒可检测的轮状病毒具体群组;其他内容包括同类产品在国内外批准上市的情况,应着重从检验方法及临床适用范围等方面写明拟申报产品与目前市场上已获批准的同类产品之间的主要区别。综述资料应符合《办法》和《关于公布体外诊断试剂注册申报资料要求和批准证明文件格式的公告》(原国家食品药品监督管理总局公告2014年第44号,以下简称《公告》)的相关要求。
(二)主要原材料的研究资料
主要原材料包括抗原、抗体、质控品、参考品等。应提供主要原材料的选择与来源、制备过程、质量标准等相关研究资料。如主要原材料为企业自制,应提供其详细制备过程;如主要原材料源于外购,应提供资料包括:选择该原材料的依据及对比筛选试验资料、供应商提供的质量标准、出厂检验报告,以及该原材料到货后的质量检验资料,供应商应固定,不得随意更换。申请人应对各主要原材料均明确质量控制标准。
1.特异性抗原、抗体
病原体特异的抗原、抗体是该类产品的关键原材料。对于抗原,如为天然抗原应明确来源,如为重组抗原应明确相应的核酸或者蛋白序列信息。应详述抗体所针对的抗原表位和抗体制备所用的免疫原,提交确定该抗体作为主要原材料的依据,还应提交抗体来源、制备、筛选、鉴定及质量标准(外观、蛋白浓度、纯度、分子量、效价、功能性试验等)等详细试验资料。
2.其他主要原材料
除上述主要原材料外,产品中包含的其他主要原材料,如其他抗体、胶体金、硝酸纤维素膜、微孔板、样本稀释液等,均应进行选择及验证,并提交相关资料。明确主要原材料的供应商和质量控制标准。
3.试剂盒质控品/质控线
产品应设置合理的质控品/质控线。质控品(如适用)应至少包含阴性和阳性两个水平。阳性质控品可选择灭活的病毒株或临床阳性样本,阴性质控品可选择临床阴性样本等。提交质控品/质控线相关原料的来源、选择和性能确认等相关研究资料,明确供应商和质量控制标准。企业应对质控品/质控线的检测结果做出明确的范围要求(试验有效性的判断)。
4.企业参考品
应提交企业参考品的原料来源、选择、制备、阴阳性及浓度/滴度确认方法或试剂等相关验证资料。企业参考品的基质应与实际样本相同。
阳性参考品应至少包括所有常见型别的病毒株或临床阳性样本,并设置不同滴度水平。A组轮状病毒型别应至少包括G9P[8]、G3P[8]、G1P[8]和G2P[4]等。
阴性参考品应考虑检测特异性的评价,应纳入正常临床样本、含干扰因素的样本及其他病原体特异性抗原阳性样本。
检测限参考品可设置病毒株/临床阳性样本的系列梯度样本,其中应包含检测限附近水平。A组轮状病毒型别应至少包括G9P[8]、G3P[8]、G1P[8]和G2P[4]等。
精密度参考品一般包括弱阳性水平、中/强阳性水平。
(二)主要生产工艺及反应体系的研究资料
1.产品基本反应原理介绍。
2.主要生产工艺介绍,可用流程图方式表示,并简要说明主要生产工艺的确定依据。
3.包被/标记工艺研究,申请人应考虑如包被/标记液量、浓度、时间、条件等指标对产品性能的影响,通过实验确定上述指标的最佳组合。
4.显色系统、酶作用底物等的介绍以及最适条件研究。
5.反应条件确定:申请人应考虑反应时间、判读时间、反应温度、洗涤液体积和洗涤次数(如涉及)等条件对产品性能的影响,通过实验确定上述条件的最佳组合。
6.反应体系中样品加样方式及加样量确定:通过实验确定最佳的加样方式及加样量。如样本需采取稀释或其他必要的方法进行处理后方可用于最终检测,申请人还应对样本稀释液及其用量、其他必要的处理方法等进行研究。
(三)分析性能评估
申请人应提交对试剂盒的全部性能进行评估的资料,对于每项分析性能的评价都应包括研究目的、实验设计、研究方法、可接受标准、实验数据、统计方法等详细资料。有关分析性能评估的背景信息也应在申报资料中有所体现,包括实验地点(实验室)、人员及数量、适用仪器、仪器扫描模式、试剂规格、批号、临床样本来源(如涉及)等。分析性能评估的实验方法可以参考相关文件或指导原则进行。建议着重对以下适用分析性能进行研究:
1.样本采集和处理
研究对保存液成分、浓度和使用量的要求;具体采样量和采样方式的要求;样本运输和保存要求等。
2.最低检测限
2.1最低检测限的确定
在进行最低检测限研究时,应先进行检测限范围的初步确认。最低检测限的确定试验建议采用梯度稀释的病毒、每个梯度的病毒液重复3-5份、每份重复检测不少于20次,通常将具有90%-95%以上阳性检出率的病毒水平作为最低检测限。建议采用蚀斑形成单位(plaque forming units,PFU)或半数组织培养感染量(50% tissue culture infectious dose,TCID50)法进行病毒滴度的滴定,并采用上述两种方式作为病毒浓度的表示方式。
2.2最低检测限的验证
应在最低检测限水平附近,选择不同来源的病毒株进行最低检测限的验证。
最低检测限的验证应包含轮状病毒所有常见型别(至少包括G9P[8]、G3P[8]、G1P[8]、G2P[4]等,以及近年来我国流行的型别)。试验采用的稀释液应与适用样本类型的性质一致。应提供详细的病毒滴度的确定方法,同时应详细描述病毒样本的确认方法及验证结果。
3.包容性
申请人应使用轮状病毒所有常见型别的多个病毒株,进行包容性的验证,以考察试剂对不同病毒株的检出能力。可从最低检出限、重复性、准确性等方面进行验证,提供样本相关信息及病毒浓度的确认方法、实验数据。
4.精密度
应对可能影响检测精密度的主要变量进行验证,包括检测时间、分析仪、操作者、地点、检测轮次等要素。设定合理的精密度评价周期,对批内/批间、日内/日间以及不同操作者之间的精密度进行综合评价。用于精密度评价的临床样本应至少包含3个水平:阴性样本、临界阳性样本、(中或强)阳性样本,并根据产品特性设定适当的精密度要求。
5.特异性
5.1交叉反应
用于交叉反应验证的病原体种类主要考虑以下几方面可能性:抗原结构的同源性、易引起相同或相似的临床症状、采样部位可能存在的其他微生物。建议在病毒和细菌感染的医学相关水平进行交叉反应的验证。申请人应提供所有用于交叉反应验证的病毒和细菌的来源、种属/型别和浓度确认等试验资料。
建议用于交叉反应研究的病原微生物至少包括:肠道腺病毒,肠道病毒、杯状病毒(如诺如病毒)、甲型肝炎病毒、戊型肝炎病毒、星状病毒、金黄色葡萄球菌、伤寒沙门菌、甲/乙/丙副伤寒沙门菌、肠炎沙门菌、鼠伤寒沙门菌、小肠耶尔森菌、链球菌、痢疾志贺氏菌、弯曲杆菌、致泻性大肠杆菌、艰难芽孢梭状杆菌、产气荚膜杆菌、弧菌等,以上病原体应包含常见型别或亚型。建议使用病原体培养液/临床样本作为研究样本类型。
应使用至少20例正常人样本进行验证,考察样本中存在的人体正常菌群、条件致病菌等的交叉反应影响。
5.2干扰研究
建议申请人在每种干扰物质的潜在最大浓度(“最差条件”)条件下,使用病毒抗原临界阳性水平样本、阴性样本进行干扰试验研究。
推荐用于干扰试验的物质包括:血液(血红蛋白、白细胞)、肠道炎性分泌液、粘液(粘蛋白)、脂肪、缓解腹泻或其他胃肠道症状的药物、抗细菌类药物、抗病毒类药物等。
6.钩状(HOOK)效应
建议采用高滴度的病毒株/阳性样本进行梯度稀释后分别检测,每个梯度重复3至5次,将显色深度或检测值随滴度升高反而变浅或降低时的滴度作为出现钩状效应时的最低滴度。
7.其他
应提供企业参考品验证资料:采用至少三批产品对企业参考品进行检验并提供详细的实验数据。
如有不同包装规格,应分别提交性能评估资料,或提供不同包装规格无性能差异的依据。如适用不同机型,应分别提交性能评估资料,并在产品说明书【适用仪器】项下明确所有机型。注意不同样本类型的适用性,根据产品特点进行分析性能评估。
应明确试剂盒可检测的轮状病毒群组,提交采用该群组轮状病毒进行的分析性能研究资料,同时在产品名称和产品说明书【预期用途】项下明确可检测群组。对于其他群组,建议进行相应的交叉反应验证,如有可能存在的风险,应在产品说明书【检验结果的局限性】项下进行提示。
(四)阳性判断值的研究
提交对申报试剂阴性/灰区/阳性等结果判断的阳性判断值(cut-off,CO)确定的研究资料,包括具体的试验方案、人群及受试者样本选择、评价标准、统计学分析和研究数据等。建立阳性判断值使用的样本来源的选择应考虑到不同的地理区域、不同的感染阶段和生理状态等因素的影响。另外,不同的样本类型如有差异应分别确定。
如适用,可采用受试者工作特征曲线(receiver operating characteristic curve,ROC)的分析方式来选择确定合理的阳性判断值;如结果存在灰区(equivocal zone),应明确灰区建立的基础。
(五)稳定性研究资料
稳定性研究主要包括实时稳定性、开封(使用)稳定性、运输稳定性、开瓶(复溶)稳定性等。研究资料应包括研究方法的确定依据、具体方法及过程。对于实时稳定性研究,应提供至少3批样品在实际储存条件下保存至成品有效期后的研究资料。
应提交不同使用环境条件对检测结果影响的研究资料。例如,试纸实时和开封稳定性研究,不同温度和湿度条件下的性能研究等。
(六)临床试验
临床试验的开展、方案的制定以及报告的撰写等均应符合相关法规及《体外诊断试剂临床试验技术指导原则》(原国家食品药品监督管理总局通告2014年第16号)的要求,如相关法规、文件有更新,临床试验应符合更新后的要求。下面仅说明临床试验中应关注的重点问题。
1.研究方法
此类产品的样本类型一般为粪便样本。
对于已有同类产品上市的试剂的临床研究,选择境内已批准上市、临床普遍认为质量较好的同类产品作为参比试剂,采用试验用体外诊断试剂与之进行对比试验研究,评价两种方法检测结果的一致性,评价指标通常包括阳性符合率、阴性符合率等。对比试剂在预期用途、适用人群、样本类型、检测方法学、检测性能等方面应与试验用体外诊断试剂具有较好的可比性。
对于无同类产品上市的情况,其临床研究可选择与临床参考标准进行比较研究的方法,评价试验用体外诊断试剂的临床性能。
2.受试者选择
轮状病毒抗原检测试剂一般用于急性胃肠炎患者轮状病毒感染的辅助诊断。根据试验用体外诊断试剂预期用途,临床试验应选择具有急性胃肠炎症状(如呕吐,腹泻等),急性胃肠炎相似症状的人群作为研究对象,制定合理的临床试验受试者入组/排除标准。此外,考虑轮状病毒感染的流行病学特征,临床试验应主要入组婴幼儿人群,也应纳入一定量成年人病例,以及各种可能的干扰样本和交叉反应样本。
3.临床试验机构数量和要求
应选择不少于3家(含3家)符合要求的临床试验机构开展临床试验。临床试验机构的选择应充分考虑试验用体外诊断试剂的特点和预期用途,选择具有代表性的机构开展临床试验,包括受试人群的代表性等。
4.临床评价指标
该类产品临床评价指标主要包括试验用体外诊断试剂与已上市同类产品相比的阳性符合率、阴性符合率等。如试验用体外诊断试剂与临床参考标准进行对比研究,其临床评价标准应包括临床灵敏度、临床特异度等。
5.临床试验样本量估算
适当的样本量是保证申报产品临床性能得到准确评价的必要条件。临床试验样本量应满足统计学要求,可采用适当的统计学方法进行估算。根据相应临床试验设计,可选择阴性符合率和阳性符合率,或临床特异度和临床灵敏度,分别估算最低阴性样本例数和阳性样本例数。
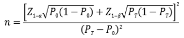
如临床试验采用试验用体外诊断试剂与已上市同类产品进行比对的试验设计,可采用单组目标值法样本量公式估算最低样本量。

公式中,n为样本量;Z1-α、Z1-β为显著性水平和把握度的标准正态分布的分数位,P0为评价指标的临床可接受标准,PT为试验用体外诊断试剂评价指标预期值。
基于现有认知,评价指标的临床可接受标准(P0)即轮状抗原检测试剂阳性符合率建议不低于90%,阴性符合率建议不低于95%。获得临床试验数据后,证明产品相对于对比试剂的阴/阳性符合率(置信区间下限)不低于预设的临床可接受标准。当评价指标P接近100%时,上述样本量估算方法可能不适用,应考虑选择更加适宜的方法进行样本量估算,如精确概率法等。
对于尚无同类产品上市的情况,申请人应根据产品特性和临床需求进行合理的样本量估算。
临床试验样本量除需满足上述统计学估算的最低样本量要求外,还需纳入干扰样本、交叉反应样本,同时还要考虑受试者脱落剔除率等情况。如临床试验研究有更合理的样本量估算方式,在说明其合理性后亦可采用。
6.统计分析
应选择合适的统计方法对临床试验结果进行统计分析,对于试验用体外诊断试剂与已上市产品(对比试剂)的一致性评价,一般选择2×2表的形式总结两种试剂/方法的检测结果,并据此计算阳性符合率、阴性符合率、总符合率、Kappa值等指标及其可信区间。
对于不一致样本,应进行原因分析。如临床试验方案规定采用其他方法进行确认,则确认结果不应纳入统计分析。
7.伦理学要求
临床试验必须符合赫尔辛基宣言的伦理学准则,必须获得临床试验机构伦理委员会的同意。研究者应充分考虑临床试验用样本的获得和试验结果对受试者的风险性,应提交伦理委员会的审查意见。
8.质量控制
临床试验开始前,建议进行临床试验的预试验,以熟悉并掌握相关试验方法的操作、仪器、技术性能等,最大限度控制试验误差。整个试验过程都应处于有效的质量控制下,最大限度保证试验数据的准确性及可重复性。
9.临床试验方案
临床试验实施前,研究人员应从流行病学、统计学、临床医学、检验医学等方面考虑,设计科学合理的临床试验方案。各临床试验机构应执行统一的临床试验方案,且保证在整个临床试验过程中遵循预定的方案,不可随意改动。整个试验过程应在临床试验机构的实验室内由本实验室的技术人员操作完成,申报单位的技术人员除进行必要的技术指导外,不得随意干涉实验进程,尤其是数据收集过程。
试验方案中应确定严格的病例纳入/排除标准,任何已经入选的病例再被排除出临床试验都应记录在案并明确说明原因。在试验操作过程中和判定试验结果时应采用盲法以保证试验结果的客观性。
10、临床试验报告
临床试验报告应该对试验的整体设计及各个关键点给予清晰、完整的阐述,所有临床试验操作应符合说明书的相关要求,例如由于粪便样本不易均质化,临床试验中应明确样本采集方法和样本用量等信息,对整个临床试验实施过程、结果分析、结论等进行条理分明的描述,并应包括必要的基础数据和统计分析方法,得出临床试验结论。
(七)注册检验
应提供符合产品技术要求的、在具有相应医疗器械检验资质和承检范围的医疗器械检验机构进行的产品检验报告,应提供连续3个生产批次样品的检验合格报告。该项目目前已有国家参考品,应采用国家参考品进行注册检测。
(八)产品说明书
说明书承载了产品预期用途、标本采集及处理、检验方法、检验结果解释以及注意事项等重要信息,是指导实验室工作人员正确操作、临床医生针对检验结果给出合理医学解释的重要依据。产品说明书的格式应符合《体外诊断试剂说明书编写指导原则》(原国家食品药品监督管理总局通告2014年第17号)的要求,进口体外诊断试剂的中文说明书除格式要求外,其内容应尽量保持与原文说明书的一致性,翻译力求准确且符合中文表达习惯。产品说明书中相关技术内容均应与申请人提交的注册申报资料中的相关研究结果保持一致,如某些内容引用自参考文献,则应以规范格式对此内容进行标注,并单独列明文献的相关信息。
下面对产品说明书的重点内容进行详细说明。
1.【预期用途】
应至少包括以下内容:
1.1试剂盒用于定性检测人体***样本(如粪便)中的*群轮状病毒抗原。
1.2相关背景信息:简要描述病原体生物学特征及致病性,感染后临床表现,相关的实验室诊断方法,临床目标人群,产品功能(如可用于轮状病毒感染的辅助诊断)等。
2.【检验原理】
描述试剂盒的技术原理,可结合图示进行说明。
3.【主要组成成分】
3.1详细说明试剂盒内各组分的名称、数量、成分、浓度等信息,如含有生物源性物质,应说明其(生物学)来源、活性及其他特性;对于胶体金、免疫层析法等试剂应描述试剂条/卡结构组成。说明不同批号试剂盒中各组分是否可以互换。
3.2试剂盒中不包含但对该项检测必需的组分,应列出相关试剂的生产企业、产品名称以及备案凭证号或注册证号(如有)等信息。
4.【储存条件及有效期】
说明试剂盒的效期稳定性、开封稳定性、运输稳定性、冻融次数要求等,应标明具体的储存条件及效期,明确温湿度要求。
5.【适用机型】(如适用)
注明所有适用的仪器型号,并提供与仪器有关的重要信息以指导用户操作。酶标仪应明确波长要求。
6.【样本要求】
说明对样本采集、处理、保存等方面的要求,包括采样要求、采集器的要求、离心条件、运送条件、保存条件及效期、冻融要求、预处理方法等,相关内容应经过前期验证。
7.【检验方法】
7.1实验环境:检测试剂及样本的复温要求等。
7.2试剂配制方法,试剂开封后使用方法等。
7.3样本稀释的方法。
7.4试验条件:操作步骤、温度、时间、仪器条件等。
7.5质量控制:操作步骤,质控结果的要求(试验有效性的判断),质控结果不符合要求的处理方式。
7.6可采用图示形式显示正确的检验操作方法、程序及注意事项等。特别注意应强调操作温度及湿度条件、读取结果的时间。
7.7特别说明检验操作过程中的注意事项。
8.【阳性判断值】(如适用)
明确阳性判断值,简要描述阳性判断值确定的试验方法。
9.【检验结果的解释】
详细描述检测结果的判定标准或计算方法,如有灰区判定,应详细说明灰区样本的处理方法。建议可采用图示形式描述结果判读方法(例如胶体金、免疫层析法等试剂)。
10.【检验方法局限性】
综合产品的预期用途、临床背景、检测方法及适用范围等信息,对可能出现的局限性进行相关说明。
11.【产品性能指标】
详述以下性能指标:
11.1对相应国家参考品检测的符合情况。
11.2企业内部参考品符合率。简单介绍各企业参考品的组成、来源以及浓度梯度设置等信息。
11.3最低检测限:简要介绍评价方法、所用病毒株或样本情况以及评价结果。
11.4对包容性的研究情况进行总结。
11.5对精密度的研究情况进行总结。
11.6分析特异性
11.6.1交叉反应:详述交叉反应验证的病原体种类,及有/无交叉反应的浓度水平。
11.6.2干扰物质:说明验证的干扰物质种类及有/无干扰反应的浓度水平。
11.7钩状(HOOK)效应:对高浓度钩状效应的验证情况进行总结。
11.8临床试验:简要介绍试验方法、受试者及样本、试验结果和结论等。
12.【注意事项】
应至少包括以下内容:
12.1有关试剂盒内人源组分(如有)生物安全性的警告。如:试剂盒内对照品(质控品)或其他可能含有人源物质的组分,虽已经通过了乙型肝炎病毒表面抗原(HBs-Ag)、人类免疫缺陷病毒1/2型抗体(HIV1/2-Ab)、丙型肝炎病毒抗体(HCV-Ab)等项目的检测,结果为阴性,但截至目前,没有任何一项检测可以确保绝对安全,故仍应将这些组分作为潜在传染源对待。
12.2有关实验操作、样本保存及处理等其他注意事项。
1.国家食品药品监督管理总局.体外诊断试剂注册管理办法(局令第5号),2014年7月.
2.国家食品药品监督管理总局.体外诊断试剂临床试验技术指导原则,2014年9月.
3.国家食品药品监督管理总局.体外诊断试剂说明书编写指导原则,2014年9月.
4.国家食品药品监督管理总局.体外诊断试剂注册申报资料要求和批准证明文件格式,2014年9月.
5.儿童轮状病毒胃肠炎预防诊疗专家共识(2020年版)[J].中华预防医学杂志,2020(04).
6.Knipe D M,Howley PM. Fields Virology,6th ed. Lippincott Williams & Wilkins,Philadelphia,PA,2013.
国家药品监督管理局医疗器械技术审评中心

站点声明
本网站所提供的信息仅供参考之用,并不代表本网赞同其观点,也不代表本网对其真实性负责。图片版权归原作者所有,如有侵权请联系我们,我们立刻删除。如有关于作品内容、版权或其它问题请于作品发表后的30日内与本站联系,本网将迅速给您回应并做相关处理。
郑州思途医疗科技有限公司专注于医疗器械产品政策与法规规事务服务,提供产品注册备案申报代理、临床试验、体系建立辅导、分类界定、申请创新办理服务。
为规范医疗器械现场检查,提升检查员现场检查能力,指导检查员对医疗器械生产企业工艺用水控制情况的检查,提高企业工艺用水质量安全保证水平,依据《医疗器械监督管理条例》
2024年10月19日,在第 75 届世界医学会全体大会上正式通过了《赫尔辛基宣言》的最新修订版本;《赫尔辛基宣言》作为人类参与者的医学研究伦理
附件:血液透析用水处理设备注册审查指导原则(2024年修订版)(2024年第19号).doc血液透析用水处理设备注册审查指导原则(2024年修订版)本指导原则旨在指导注册申请人对血液透析用水处理设备注册申报资料的准备及撰写,同时也为技术审评部门提供参考。本指导原则是对血液透析用水处理设备的一般要求,注册申请人依据产品的具体特性确定其中内容是否适用。若不适用,要具体阐述理由及相应的科学依据,并依据产
附件:一次性使用医用冲洗器产品注册审查指导原则(2022年第41号).doc一次性使用医用冲洗器产品注册审查指导原则本指导原则旨在指导注册申请人对一次性使用医用
本指导原则旨在帮助和指导注册申请人对一次性使用腹部穿刺器注册申报资料进行准备,以满足技术审评的基本要求。同时有助于审评机构对该类产品进行科学规范的审评,提高审评工
附件:医用透明质酸钠创面敷料注册审查指导原则(2024年第21号).doc医用透明质酸钠创面敷料注册审查指导原则本指导原则旨在指导注册申请人准备及撰写医用透明质酸钠创面敷料注册申报资料,同时也为技术审评部门审查注册申报资料提供参考。本指导原则是对医用透明质酸钠创面敷料产品的一般要求,注册申请人应依据产品的具体特性确定其中内容是否适用,若不适用,需具体阐述理由及相应的科学依据,并依据产品的具体特性对
国家药监局器审中心关于发布影像型超声诊断设备(第三类)注册审查指导原则(2023年修订版)的通告(2024年第29号)发布时间:2024-10-14为进一步规范
附件:康复类数字疗法软件产品分类界定指导原则(2025年第27号).doc康复类数字疗法软件产品分类界定指导原则一、目的为指导康复类数字疗法软件产品管理属性和管
国家药监局药审中心关于发布《抗肿瘤药物临床试验中SUSAR分析与处理技术指导原则》的通告(2024年第42号) 发布日期:20241010
附件:重组胶原蛋白创面敷料注册审查指导原则(2023年第16号).doc重组胶原蛋白创面敷料注册审查指导原则本指导原则旨在指导注册申请人准备及撰写重组胶原蛋白创
行业资讯
知识分享
十年
医疗器械服务经验
联系思途,免费获得专属《落地解决方案》及报价
咨询相关问题或咨询报价,可以直接与我们联系
思途CRO——医疗器械注册临床第三方平台
