长江三角洲区域医疗器械注册人制度试点工作实施方案(试行)(沪药监械管〔2019〕112号)
为深入贯彻落实中共中央办公厅、国务院办公厅印发的《关于深化审评审批制度改革鼓励药品医疗器械创新的意见》(厅字〔2017〕42号),按照国家药品监督管理局《关于扩大医疗器械
来源:医疗器械注册代办 发布日期:2017-01-16 阅读量:次
附件:体外除颤产品注册技术审查指导原则(2017年第6号).doc
本指导原则旨在指导注册申请人对体外除颤产品(简称“产品”)注册申报资料的准备及撰写,同时也为技术审评部门审评注册申报资料提供参考。
本指导原则是对产品的一般性要求,注册申请人应依据其具体特性确定其中内容是否适用,若不适用,需具体阐述理由及相应的科学依据,并依据其具体特性对注册申报资料的内容进行充实和细化。
本指导原则是供注册申请人和审查人员使用的指导文件,不涉及注册审批等行政事项,亦不作为法规强制执行,如有能够满足法规要求的其他方法,也可以采用,但应提供详细的研究资料和验证资料,应在遵循相关法规的前提下使用本指导原则。
本指导原则是在现行法规、标准体系及当前认知水平下制定的,随着法规、标准体系的不断完善和科学技术的不断发展,本指导原则相关内容也将适时进行调整。
本指导原则适用于体外除颤产品,可进行体外除颤治疗(简称“除颤”)。
按照《医疗器械分类目录》,体外除颤产品的管理类别为Ⅲ类,分类编码为6821,是用于心脏的治疗、急救装置。
本指导原则所述的产品包含进行除颤的各种设备或系统。产品既可以是独立设备,也可集成在多参数模块的设备或系统中,也可以是穿戴式的;产品可以全部由执业医生控制和操作来进行手动除颤,或者只需急救者按确认除颤键来进行半自动除颤,或者无须任何人为干预来进行自动除颤。
本指导原则对于产品的预期使用环境不做限制,例如,手动体外除颤器和频繁使用的半自动体外除颤器可在医疗机构中和院前的急救环境中使用;非频繁使用的半自动体外除颤器和自动体外除颤器可在机场、生活社区、学校、办公场所等公共区域使用;穿戴式的自动体外除颤器在患者的日常生活中使用。
本指导原则不适用于植入式除颤产品。
依据《医疗器械注册申报资料要求和批准证明文件格式》(国家食品药品监督管理总局2014年第43号公告)附件8,注册申请人应提供《医疗器械安全有效基本要求清单》,着重明确下述项目的适用性,说明产品符合适用要求所采用的方法,提供证明其符合性的文件:
1.B5项环境特征;
2.B6项有诊断或测量功能的医疗器械产品;
3.B8项含软件的医疗器械和独立医疗器械软件;
4.B9项有源医疗器械和与其连接的器械;
5.B11项提供患者能量或物质而产生风险的防护;
6.B12项对非专业用户使用风险的防护。
对于包含在产品注册申报资料中的文件,应当说明其在申报资料中的具体位置;对于未包含在产品注册申报资料中的文件,应当注明该证据文件名称及其在质量管理体系文件中的编号备查。
(一)概述
按照功能和预期用途,体外除颤分为手动体外除颤、半自动体外除颤、自动体外除颤。手动体外除颤分为胸外除颤和胸内除颤。
产品通用名称由核心词和特征词组成。注册申请人应按照产品的预期用途来确定产品名称的核心词,按照产品的使用部位和技术特点来确定产品名称的特征词,例如,手动体外除颤器、半自动体外除颤器、自动体外除颤器、体外除颤监护仪、体外除颤监护系统等。
(二)产品描述
注册申请人应提供体外除颤产品的下述描述信息:
1.除颤的临床机理和需求、工作原理
注册申请人应描述人体在发生心律失常时的临床表现,应明确手动体外除颤、半自动体外除颤、自动体外除颤的分析和治疗机理、临床需求以及体外除颤产品的工作原理。
2.结构组成
注册申请人应明确产品组成的信息,包含但不限于:主机、部件和附件的名称、型号和法定制造商名称。这些信息同时应以注册申请表附页形式提供,例如,表1。

基于上述产品组成信息,制造商应提供各部分的示意图或者彩色图片,描述与产品配合使用的附件、主要功能及其组成部件(关键组件和软件)的功能,以及区别于其他同类产品的特征等内容。
(三)型号规格
对于存在多种型号的体外除颤产品,应当明确各型号的区别。应当采用对比表及带有说明性文字的图片、图表,对于各种型号的结构、组成、配置和除颤治疗模式加以描述。
注册申请人应明确主机、部件和附件的规格,如物理规格、显示规格、有线/无线通信协议、电源/电池规格、打印规格等。
1.物理规格:物理尺寸、重量,等等。
2.显示规格:显示屏类型、尺寸。
3.有线/无线通信协议
a)硬件接口:接口的名称、机械和电气协议,例如,RS-232或RS-485串口,并口,USB 1.0、USB 2.0、USB 3.0,IEEE802.3协议的标准以太网口、快速以太网口和10G以太网口,SD/CF卡插口,等等。
b)无线接口:接口的名称及协议,例如,红外接口,802.11a/b/g/n协议的WIFI网络,IEEE 802.15.1协议的蓝牙(版本1.0—4.2),等等。
c)打印规格:打印机类型,例如,热敏型等;打印分辨率:垂直分辨率、水平分辨率等;纸张宽度、打印宽度;打印波形数量等;打印速度,例如,12.5、25mm/s。
4.附件的规格
a)附件的结构示意图/彩色图片、附件的各部分原材料。
b)附件的物理尺寸和面积、导线的物理尺寸等。
c)对于灭菌包装附件,应明确灭菌方式和灭菌有效期。
(四)包装说明
注册申请人应提供体外除颤产品包装的信息及彩色图片,以及与该产品一起销售的配件包装情况及彩色图片。
(五)适用范围和禁忌症
体外除颤产品是生命支持设备或系统,预期用于患者急救,例如:
1.手动体外除颤可终止心室颤动或室性心动过速症状,预期治疗新生儿、小儿和成人患者,应由经急救培训且接受设备操作培训的医护人员使用,可用于医院、临床机构、救护车、急救现场或者患者转运过程中。
2.半自动体外除颤可用于疑似心脏骤停患者,预期治疗新生儿、小儿和成人患者,应由经急救培训的人员或在急救中心调度人员指导下使用。
3.自动体外除颤可持续测量和分析患者的心电,如果患者出现危及生命的心室颤动或室性心动过速症状,该产品可自动进行体外除颤治疗。
某些自动体外除颤器可由经急救培训的人员使用。某些自动体外除颤器预期用于有心脏骤停风险、不适宜植入或拒绝使用植入式除颤器的成人患者。
注册申请人应当明确说明产品不适宜应用的某些疾病、症状、情况或特定的人群(如新生儿、小儿、老年人、孕妇及哺乳期妇女、肝肾功能不全者),例如:
1.半自动体外除颤器禁用于有脉搏、有呼吸、有意识的患者。
2.某些半自动体外除颤器禁用于年龄小于8岁或体重低于25千克的患者,某些半自动体外除颤器禁用于新生儿患者,等等。
(六)同类产品或前代产品的信息
参考的同类产品或前代产品应当提供同类产品(国内外已上市)或前代产品(如有)的信息,阐述申请注册产品的研发背景和目的。对于同类产品,应当说明选择其作为研发参考的原因。同时列表比较说明申请注册产品与参考产品(同类产品或前代产品)的异同,例如,表2。
(七)其他需说明的内容
对于已获得批准的部件或配合使用的附件,应当提供批准文号和批准文件复印件;预期与其他医疗器械或通用产品组合使用的应当提供说明;应当说明系统各组合医疗器械间存在的物理、电气等连接方式。

(一)产品性能研究
注册申请人应当提供产品技术要求的研究和编制说明。体外除颤产品的现行有效标准如下:
GB 9706.1-2007 医用电气设备第1部分:安全通用要求;
GB 9706.8-2009 医用电气设备第2-4部分:心脏除颤器安全专用要求;
GB 9706.15-2008 医用电气设备第1-1部分:通用安全要求并列标准:医用电气系统安全要求(如适用);
YY 0505-2012医用电气设备第1-2部分:安全通用要求并列标准:电磁兼容要求和试验;
YY 0709-2009 医用电气设备第1-8部分:安全通用要求并列标准:通用要求,医用电气设备和医用电气系统中报警系统的测试和指南(如适用);
YY/T 0196-2005 一次性使用心电电极(如适用)。
注册申请人应当提供产品性能研究资料,包括性能指标、质量控制相关指标的确定依据,所采用的标准或方法、采用的原因及理论基础。
1.关键技术特点及其性能指标
注册申请人应明确产品的治疗模式,例如,手动模式、半自动模式、自动模式等。
注册申请人应明确各治疗模式下的功能和性能指标,例如,除颤波形、能量级别和精度、病人阻抗测量、心电波形和节律识别、充电/放电、电源等方面的功能和性能指标。
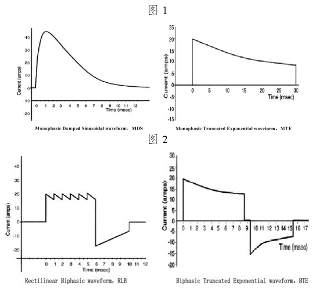
a)在所有的治疗模式下,注册申请人应明确除颤波形及其详细参数,例如,双相波(例如,双相方波RLB、双相截断指数波BTE,等等)、单相波(例如,单相正弦衰减波MDS、单相截断指数波MTE,等等)或其他波形,并且至少明确下述性能指标:
双相除颤波形的详细参数,例如:所有能量级别和各级别的输出能量精度、放电时间常数、第一相时间、第一相峰值电流、第一相平均电流、第一相电流平均斜率、两相间隔时间、第二相时间、第二相峰值电流、第二相平均电流、第二相电流平均斜率,等等。
单相除颤波形的详细参数,例如,所有能量级别和各级别的输出能量精度、放电时间常数、治疗时间、峰值电流、平均电流、波形斜率,等等。
按照电压或者电流—时间关系,注册申请人应绘制除颤波形释放的脉冲图,并针对波形特点提供波形详细参数,例如,图1和图2。
b)在所有的治疗模式下,注册申请人应提供阻抗测量的方法,应明确除颤波形对应的病人阻抗测量范围和精确度。
c)对于半自动和自动模式,注册申请人应描述心脏节律识别技术,陈述算法名称、算法原理和实现方式,明确心脏节律识别的性能指标,例如,分析时间、敏感度、特异性、真实预报价值和假阳性率等。

d)在所有的治疗模式下,注册申请人应提供阻抗测量的方法,应明确除颤波形对应的病人阻抗测量范围和精确度。
e)对于半自动和自动模式,注册申请人应描述心脏节律识别技术,陈述算法名称、算法原理和实现方式,明确心脏节律识别的性能指标,例如,分析时间、敏感度、特异性、真实预报价值和假阳性率等。
2.关键元器件及其质量控制要求
注册申请人应提供产品的工作原理图、产品总体设计方案和总体设计框图,应简述各单元模块的功能及相互关系,应明确手动体外除颤、半自动体外除颤、自动体外除颤相关的单元模块及其设计要求。
基于风险分析和管理、验证和确认等的工作,注册申请人应确定下述模块(包括但不限于)相关器件是否为关键元器件,并明确关键元器件的名称、型号、规格、制造商以及需要控制的规格参数和性能指标:
a)电源模块,例如,电源适配器、电池、电源模块等。
b)充电模块,例如,充电电容、充电高压管、充电变压器等。
c)放电模块,例如,放电桥中电子开关等。
d)控制模块,例如,硬件电路的MCU、扩展资源、通信电路等。
e)测量模块,例如,病人阻抗传感器,信号采集和转化电路等。
f)治疗附件,例如,除颤手柄、一次性使用除颤电极片等。
(二)生物相容性评价研究
注册申请人应对预期与人体接触附件进行生物相容性评价,例如,除颤手柄、可重复使用除颤电极、一次性使用除颤电极片、胸内勺形电极以及其他配合使用的附件,应提供细胞毒性、致敏、刺激或皮内反应项目的生物相容性评价资料,对于灭菌包装附件,还应提供热原和细菌内毒素项目的评价资料。
宜参考的现行有效标准有:
GB/T 16886.1-2011 医疗器械生物学评价第1部分:风险管理过程中的评价与试验;
GB/T 16886.5-2003 医疗器械生物学评价第5部分:体外细胞毒性试验;
GB/T 16886.10-2005 医疗器械生物学评价第10部分:刺激与迟发型超敏反应试验;
GB/T 16886.12-2005 医疗器械生物学评价第12部分:样品制备与参照样品;
GB/T 16886.18-2011 医疗器械生物学评价第18部分:材料化学表征;
GB/T 14233.2-2005 医用输液、输血、注射器具检验方法第2部分:生物学试验方法。
注册申请人宜参考GB/T 16886.1-2011评定程序的框架并且在风险分析和管理的基础上,根据产品与人体接触性质、接触时间和接触周期,考虑生物学评价项目,并按照图3进行生物学评价。
生物相容性评价研究资料应当包括:
1.生物相容性评价的依据和方法;
2.产品所用材料的描述及与人体接触的性质;
3.实施或豁免生物学试验的理由和论证;
4.对于现有数据或试验结果的评价。

对于已获得注册批准上市的附件,在GB/T16886.1-2011的4.7项中任一情况下,应重新评价材料或最终产品的生物相容性。
如果已获得注册批准上市的附件未发生GB/T16886.1-2011中4.7项的情况,注册申请人应提供其法定制造商做出的未发生GB/T16886.1-2011的4.7项所规定的重新评价情况的声明,并且注册申请人应提供该附件的医疗器械注册证复印件及其原生物学评价资料的复印件。
(三)产品有效期和包装研究
1.应明确电池和除颤电极片的有效期,并提供有效期的验证报告。
2.应明确申报产品的预期使用寿命,提供预期使用寿命的分析验证报告。
3.应提供可重复使用附件的使用次数验证资料,例如,可充电电池、除颤手柄、可重复使用除颤电极板、可重复使用除颤电极片等。
4.应提供在宣称的有效期内以及运输储存条件下,保持包装完整性的依据。
5.如产品为灭菌包装,应明确包装材料、灭菌工艺(方法和参数)、无菌保证水平和灭菌有效期,提供包装工艺确认报告、灭菌确认报告、灭菌效果验证报告和货架寿命验证报告。
(四)临床前动物实验
如必要,应提供体外除颤产品的动物实验研究资料,见本指导原则附录3。
(五)软件研究
体外除颤产品的软件一般属于软件组件,一般不宜单独注册。参考《医疗器械软件注册技术审查指导原则》的要求,应按照C级安全性级别来提供软件描述文档,应关注:
1.核心算法:
注册申请人应提供阻抗测量及补偿技术的算法名称、类型、用途和临床功能,如为全新算法,还应提供安全性和有效性的验证资料。
对于半自动和自动模式,注册申请人应提供心脏节律识别技术的算法名称、类型、用途和临床功能,如为全新算法,还应提供安全性和有效性的验证资料。
2.心脏节律识别功能的验证:
应按照GB 9706.8-2009的6.8.3条款3)项,提供心律识别检测器的性能验证资料,包括心电数据库报告和性能验证报告。
a)心电数据库报告:
注册申请人应报告用于心律识别检测器性能验证的心电数据库,应描述记录方法、心律来源、心律选择基准,并且应提供评注方法和基准,例如,由具有多年心电图临床经验的专家组标注心电图数据。该数据库至少应满足表3的要求。
用于验证心脏节律识别的心电数据库应包括可除颤心律和非可除颤心律:
可除颤心律应包括不同幅度的粗室颤心律、不同频率和QRS波宽度的室性心动过速心律。
非可除颤心律应包括不同形态的QRS波数据(含干扰信号),并包括正常窦性心律、具有心室期外收缩(PVC)特征的窦性心律、室上性心动过速、窦性心动过缓、房颤、房扑、心脏传导阻滞、室性自主心律、起搏器心律、停搏。

b)性能验证报告:
注册申请人应利用上述心电数据库验证心律识别检测器的性能并提供性能验证报告,验证结果应包括敏感性、特异性、真实预报价值和假阳性率,并且应满足表4要求。

注册申请人应提供临床评价资料,可按照下述任一情形:
(一)通过同品种体外除颤产品临床数据进行的分析评价报告
按照本指导原则附录4和附录5,应通过分析评价同品种产品的临床数据来确认产品的安全性和有效性。
(二)临床试验资料
对于手动除颤、半自动或自动体外除颤产品,应按照本指导原则附录6来确认体外除颤治疗的安全性和有效性。
对于半自动或自动体外除颤产品,应按照本指导原则附录7来确认心脏节律识别器的安全性和有效性。
注册申请人应提供体外除颤器的风险管理资料,见本指导原则附录1。
考虑到产品的临床使用场所(包括但不限于临床机构、户外/户内公共场所、交通工具中、患者家中等)和各种环境因素的相关风险[包括但不限于海拔、绝对湿度和相对湿度、热能(温度)、电磁环境、辐射环境、机械能(重力坠落和悬挂、碰撞、振动、运输)等],应在风险分析和管理过程中估计、评价并控制环境因素可能引起的相关风险,同时应说明提出风险控制措施的客观证据及验证确认资料,确认该产品在不同环境条件下的安全性、临床功能和性能。
注册申请人应按照本指导原则附录2提供产品技术要求。
应明确产品的预期使用寿命,并明确预期使用寿命内产品的自检频率和要求、维护方法和维护频率。
1.技术原理相同但产品设计结构不同的产品原则上应划分为不同的注册单元。
2.治疗模式不同的产品应划分为不同的注册单元。例如,手动体外除颤器、半自动体外除颤器、自动体外除颤器、体外同步复律仪、体外除颤监护仪/系统应划分为不同的注册单元。
3.治疗波形不同的产品应划分为不同的注册单元,例如,双相波、单相波或其他波形等。
体外电复律:在严重快速型心律失常时,利用外加的高能量脉冲电流通过心脏,使全部或大部分心肌细胞在瞬间同时除极,造成心脏短暂的电活动停止,然后由最高自律性的起搏点(通常为窦房结)重新主导心脏节律的治疗过程。
体外非同步电复律:在患者的QRS波和T波分辨不清或不存在时,不启用同步触发装置所进行的体外电复律。
体外除颤:在患者发生室颤(室扑或无脉室速)时进行的体外非同步电复律。
体外除颤器:通过电极将电脉冲施加在患者的皮肤或暴露的心脏,用来对心脏进行体外除颤的医用电气设备。

前—侧位:也叫前尖位或标准位,一个电极板放在右前壁锁骨下,靠近但不与胸骨重叠(注意,无论如何也不要将电极放在胸骨上,以免明显减弱除颤时放电时的能量;另一个电极板放在心尖(左乳头左侧,其中心位于腋中线上)。两块电极板之间的距离不应<10cm)。
前—后位:一个电极板放在左肩胛下区,另一个电极板放在胸骨左缘第四肋间水平。
前—左肩胛位:一个电极板放在右前壁锁骨下,另一个电极板放在背部左肩胛下。
前—右肩胛位:也叫尖后位,一个电极板放在心尖部,另一个电极板放在病人背后右肩胛角(注意,应避开脊柱)。
随机文件:随设备或附件所附带的文件,其内容包括对设备的使用者、操作者、安装者或装配者来说是全部重要的资料,特别是有关安全的资料。
生命支持设备或系统:至少包括一种预期有效地保持患者生命或复苏功能的设备或系统,且一旦该功能无法满足要求就很可能导致患者严重的伤害或死亡。
预期使用寿命:由制造商规定的电气设备或电气系统期望保持安全使用的时间(即保证基本安全和基本性能)。
注:参见IEC 60601-1: 2012的3.28项。
心律识别检测器:分析心电图并识别一个心脏节律是否为可电击的仪器。在半自动体外除颤器、自动体外除颤器中,其算法设计为保证心律失常检测的敏感性和特异性,以便在临床中对其进行除颤。
可除颤心律:若不及时地除颤,可能造成患者死亡的致死性心律。
非可除颤心律:不可电击的良性心律(甚至正常心律),特别是尚有脉搏的病人,因为除颤不能给这些病人带来任何益处,反而可能造成病情恶化。
除颤成功:终止心室颤动,除颤后5秒钟心电图显示心搏停止或非室颤无电活动。

(一)《医疗器械监督管理条例》(国务院令第650号)
(二)《医疗器械注册管理办法》(国家食品药品监督管理总局令第4号)
(三)《医疗器械临床试验质量管理规范》(国家食品药品监督管理总局中华人民共和国国家卫生和计划生育委员会令第25号)
(四)《医疗器械通用名称命名规则》(国家食品药品监督管理总局令第19号)
(五)GB 9706.1-2007 医用电气设备第1部分:安全通用要求
(六)GB 9706.8-2009 医用电气设备第2-4部分:心脏除颤器安全专用要求
(七)GB 18279-2000 医疗器械环氧乙烷灭菌确认和常规控制
(八)GB 18280-2000 医疗保健产品灭菌确认和常规控制要求辐照灭菌
(九)GB/T 14710-2009 医用电器环境要求及试验方法
(十)YY 0505-2012 医用电气设备第1-2部分:安全通用要求并列标准:电磁兼容要求和试验
(十一)YY 0670-2008 无创自动测量血压计
(十二)YY/T 0287-2003 医疗器械质量管理体系用于法规的要求
(十三)YY/T 0316-2008 医疗器械风险管理对医疗器械的应用
(十四)《医疗器械注册申报资料要求和批准证明文件格式》(国家食品药品监督管理总局公告2014年第43号)
(十五)《食品药品监管总局关于执行医疗器械和体外诊断试剂注册管理办法有关问题的通知》(食药监械管〔2015〕247号)
(十六)《医疗器械临床评价技术指导原则》(国家食品药品监督管理总局通告2015年第14号)
(十七)《药物临床试验的生物统计学指导原则》(国家食品药品监督管理总局通告2016年第93号)
(十八)《医疗器械产品技术要求编写指导原则》(国家食品药品监督管理总局通告2014年第9号)
(十九)《医疗器械软件注册技术审查指导原则》(国家食品药品监督管理总局通告2015年第50号)
(二十)《医疗器械生物学评价和审查指南》(国食药监械〔2007〕345号)
(二十一)IEC 60601-1:2012Medical electrical equipment - Part 1:General requirements for basic safetyand essential performance
(二十二)EN 1789:2007+A1: 2010Medical vehicles and their equipment - Road ambulances
(二十三)EN 13718-1: 2008 Medical vehicles and their equipment - Air ambulances - Part 1:Requirements for medical devices used in air ambulances
(二十四)RichardE. Kerber, MD, Chair; LanceB. Becker.MD; JosephD. BourlandEE, PhD; Richard O. Cummins, MD. MPH; Alfred P. Hal lstrom,PhD; Mary B. Michos, RN;Graham Nichol, MD; Joseph P. Ornato, MD; William H. Thies, PhD; RogerD. White, M D; Bram D. Zuckerman, MD.Automatic External Defibrillators for PublicAccess Defibrillation: RecommendationsforSpecifying and Reporting Arrhythmia AnalysisAlgorithm Performance, Incorporating NewWaveforms, and Enhancing Safety.AHA ScientificStatement
(二十五)CCTS工作组,贺佳(执笔)。临床试验中样本量确定的统计学考虑,中国卫生统计,2015年8月第32卷第4期
(二十六)CCTS工作组,贺佳(执笔)。临床试验统计分析计划及统计分析报告的考虑。中国卫生统计,2015年6月第32卷第3期
(二十七)杨兴华,詹思延。临床研究证据分级及评价。中国循证心血管医学杂志,2009年9月第1卷第4期
(二十八)杨学宁,吴一龙。临床证据水平分级和推荐级别。循证医学,2003年3(2):111-113
(二十九)黄惠芳,朱莹,顾国浩。体外电除颤对心肌损伤标志物影响的实验研究。苏州大学学报(医学版)2009;29(5)
(三十)张晓东,何庆。双/单相波电击除颤治疗院前室颤的系统评价。西南军医2009年7月第11卷第4期
附录1
风险管理资料是对风险管理过程及其评审的结果予以记录所形成的资料。风险管理资料主要包含风险管理计划和风险管理报告,还包含风险管理活动相关的其他文档资料及评审记录。
(一)风险管理活动范围
制造商应策划风险管理活动的范围,通过照片、示意图和文字等形式清晰地说明体外除颤产品(简称“产品”)的结构及组成,描述产品功能。
风险管理过程的所有要素应规划在产品生命周期之中。制造商应辨识产品的生命周期阶段,以及每个阶段要开展的风险管理活动。
(二)职责和权限
制造商应明确参与风险管理活动的成员,其成员应具有与风险管理任务相适应的知识和经验,包括风险分析人员、风险评价人员(应包含有临床背景的人员)、风险控制措施制定人员及验证人员、风险管理过程评审人员(不直接负责所评审的设计和开发阶段的人员和所需的专家)以及风险管理报告的编制及审批人员,应列出其姓名、职务及责任范围。
(三)风险管理活动评审的要求
制造商应详细规定何时和如何进行风险管理评审,风险管理活动评审的要求可能是质量管理体系的一部分。
(四)风险可接受准则
制造商应根据风险可接受方针,制定产品的风险可接受准则。风险可接受准则对于风险管理过程的最终有效性是至关重要的,制造商应根据产品预期用途、特征制定适当的风险可接受准则。
风险可接受准则可以是制造商建立的质量管理体系的一部分,在风险管理计划中可以采用引用的方式体现。
(五)验证活动
风险管理计划应规定如何进行下述验证工作:确保风险控制已在最终设计中实施;确保实施的措施确实降低了风险。风险管理计划应详述风险控制措施相关的验证活动的计划。
(六)生产和生产后信息的收集和评审活动
制造商应当建立通用的程序,以便从不同的来源收集信息,如使用者、服务人员、培训人员、事故报告和顾客反馈。尽管获得生产后信息的一个或多个方法可以是已建立的质量管理体系中的一部分,但产品的生产和生产后信息的收集和评审活动相关的计划和要求应直接加入到风险管理计划中。
(一)预期用途和与安全性有关特征的判定
风险管理报告应包含产品的预期用途以及合理可预见的误用。
制造商应按照YY/T 0316-2008《医疗器械风险管理对医疗器械的应用》附录C提示的问题,对照产品的实际情况作针对性的简明描述。产品如存在附录C提示以外的可能影响安全性的特征的情况,也应做出说明。可能影响安全性的特征应形成文档,在风险管理报告中包含。
(二)危害的判定
制造商应在已识别的影响安全性的特征的基础上,系统地判定产品在正常和故障两种条件下的可预见的危害,并对危害的成因及后果进行分析,即说明危害、可预见事件序列、危害处境和可能发生的损害之间的关系,形成一份产品可预见的危害及危害分析清单。
危害的判定至少应包含能量危害、生物和化学危害、操作危害、信息危害这四个方面的危害分析,并应按照本指导原则附录1的危害二级分类来展开分析。制造商应根据申报产品具体预期用途和与安全性有关特征编写风险管理报告。
(三)风险估计
应识别可能造成危害处境的合理可预见的事件序列或组合,并列明造成的危害处境。
对应每个判定的危害处境,应利用可以得到的资料或数据估计其相关的一个或多个风险。对危害发生概率不能加以估计的危害处境,编写一个危害的可能后果的清单,以便风险评价和风险控制。
对损害发生的概率和损害的严重度进行定性或定量的估计。用于风险估计的资料或数据,可以通过以下途径获得:
1.已发布的标准;
2.科学技术资料,例如各种期刊、专著;
3.已在使用中的临床资料,例如已公布的不良事件报告、召回信息等,典型的如美国食品药品管理局官方网站中的MAUDE数据库;
4.临床数据;
5.调研结果;
6.专家意见;
7.外部质量评定情况。
(四)风险评价
对每个已判定的危害处境,制造商应依据风险管理计划中制定的风险可接受准则进行风险评价,决定是否需要降低风险。
风险评价的结果记入风险管理文件中。
(五)风险控制
制造商应对经风险评价后不可接受的、或考虑可进一步采取措施降低的风险制定适当的风险控制措施(一个或多个),把风险降低到可接受的水平。
制造商应按照以下顺序,依次使用一种或多种方法:
1.用设计方法取得固有安全性,例如消除危害、降低损害发生的概率、降低损害的严重度;
2.在医疗器械本身或在制造过程中提供防护措施,例如提供安全阀、提供视觉或听觉报警信号;
3.提供安全性信息,例如提供警告标识、限制产品使用或限制使用环境、提供警告信息(告知某些不当使用、危害或其他有助于降低风险的信息)、提供防护设备(例如细菌过滤器)、提供操作者培训(以改进他们的表现或提高其检出错误的能力)、规定必需的维护时间间隔、规定最大产品服务寿命等。
在制定降低风险的控制措施方案时,应充分考虑产品国家标准、行业标准中有关降低风险的措施。
应确保降低风险的控制措施在研制初期得到有效的输入,对每项风险控制措施实施予以验证,并应对措施的有效性实施验证。
制造商应对采取降低风险的控制措施后的剩余风险以及是否会引发新的风险进行评价。
以上降低风险的控制措施、控制措施的验证、剩余风险评价等信息可以记入风险管理报告中。
(六)综合剩余风险的可接受性评价
制造商应对综合剩余风险是否可接受给出结论性意见,并对已有恰当的方法获得与本产品相关的生产后信息与临床应用的信息进行阐述并做出承诺。
风险管理报告应由制造商的最高管理者(法人代表)或其授权的代表签字批准。















附录2
医疗器械产品技术要求编号:
产品名称(见本指导原则正文第三、条第0款)
1.1.产品型号
……
1.2.产品规格
按照随机文件和说明书,制造商应载明电源/电池规格。
按照随机文件和说明书,制造商应载明患者应用附件的示意图/彩色图片、结构、规格、原材料、灭菌信息等。
1.2.1.1.电源/电池规格
交流电源的规格,例如,额定电压、额定电流、额定功率等。
内部电池的规格,例如,电池类型(镍氢电池、锂离子电池等),额定电流,最长供电时间等。
1.2.1.附件的规格
1.2.1.1.附件的结构示意图/彩色图片
……
1.2.1.2.附件的原材料
按照附件的结构示意图/彩色图片,制造商应载明各部分的原材料。
1.2.1.3.附件的规格
附件的物理尺寸和面积、导线的规格等。
1.2.1.4.灭菌附件
制造商应载明灭菌包装附件的灭菌方法和灭菌有效期。
1.3.产品型号的划分说明
……
1.4.产品分组/分类信息
制造商应按照YY 0505-2012和GB 9706.8-2009载明产品分组/分类信息,为1组B类。
1.5.软件组件
1.5.1.名称
制造商应按照软件描述文档载明软件组件的名称。
1.5.2.发布版本
制造商应按照软件描述文档载明软件组件的发布版本。
1.5.3.版本命名规则
制造商应按照软件描述文档载明软件完整版本的全部字段及字段含义。
2.1.……
2.1.1.……
……
2.2.安全和性能标准
全面执行GB 9706.1-2007、GB 9706.8-2009、GB 9706.15-2008(如适用)、YY 0505-2012、YY 0709-2009(如适用)、YY/T 0196-2005标准(如适用),产品主要安全特征见附录A。
3.1.……
3.1.1.……
……
3.2.安全和性能标准
按照2.2项对应的方法,进行全面检验,应符合2.2的要求。
4.1.……
4.1.1.……
……
(分页)
附录A产品主要安全特征
1.按防电击类型分类:
2.按防电击的程度分类:
3.按对进液的防护程度分类:
4.按在与空气混合的易燃麻醉气或与氧或氧化亚氮混合的易燃麻醉气情况下使用时的安全程度分类:
5.按运行模式分类:
6.设备的额定电压和频率:
7.设备的输入功率:
8.设备是否具有对除颤放电效应防护的应用部分:
9.设备是否具有信号输出或输入部分:
10.永久性安装设备或非永久性安装设备:
11.电气绝缘图:
制造商应在电气绝缘图中标明各绝缘路径。
12.电气绝缘图表格:
制造商应在绝缘图表格中明确各绝缘路径的名称、绝缘类型、基准电压、试验电压、电气间隙和爬电距离。
附录3
体外除颤产品(简称“产品”)的动物实验方案应经动物伦理委员会审批并同意。注册申请人宜在符合GLP要求的动物实验机构中进行该研究。
该研究目的是验证体外除颤产品的安全性和有效性。
该研究应基于成人模型和小儿模型分别进行设计。各研究应设计为随机、平行、对照实验,至少应提出非劣效性假设。
动物实验的设计应保证尽量接近产品作用于人体的预期用途并验证所有的治疗模式:手动模式、半自动模式、自动模式。
制造商应选取已经在中国上市的产品作为对照组。在动物实验方案中,制造商应明确对照组产品选择的科学合理性。
推荐制造商选取已经在中国上市的同品种产品(见附录4第三、条)作为对照组产品。
实验动物应来源于具有国家实验动物主管部门核发的《实验动物生产许可证》单位,并具有相应的质量合格证。
如果动物模型的选择和制备对于产品应用于人体的安全性分析具有缺陷,注册申请人应详细说明并评价其对研究结果的影响。如无法说明动物模型选择和制备的合理性或无法评价上述缺陷造成的影响,注册申请人应修改动物实验方案,并按照修改后的方案进行动物实验研究。
(一)动物模型的选择
该研究应采用实验用猪作为实验动物。实验动物的性别不限,但性别分布要保证基线,或全为雄性或全为雌性,或者性别分布大致均衡。由于体重、皮肤胸壁阻抗等因素的不同造成对应的实验波形或者选择能量的差异,实验方案和实验报告中应说明选择实验用猪的品种、体重和胸壁阻抗。
对于体外除颤动物实验,成人研究用猪的体质量应在30—80kg之间,小儿研究用猪的体质量应在4—25kg之间。
(二)动物模型的制备
动物类型选择是否适当、动物实验前的状态等情况直接关系到动物模型制备能否成功。建议根据需要选择科学合理的致颤方法(包括但不限于:电刺激致颤、药物致颤,等等)来制备动物模型,获得室颤模型,以满足验证受试产品功能的需要。
研究人员应按照动物实验中心的组织与管理细则管理实验动物。
1.实验前准备:圈养、注意禁食、禁水,对实验动物进行称重及编号,并按方案要求准备适宜的实验环境。
2.实验中安排:麻醉、监护,指标正常并稳定后开始实验,实验中全程监护并记录相关的数据。
3.实验后动物处理:存活动物进行安乐死、作病理检查等。
诱发室颤前动物随机分为实验组和对照组。诱发室颤成功后,按照制造商推荐的能量及治疗调整方法进行除颤。如果第一次除颤后动物未恢复自主循环,则进行CPR,再按照制造商推荐的能量及治疗调整方法调整治疗参数,再进行第二次除颤,依次类推进行第三次或更多除颤。如果在制造商推荐的能量及治疗调整方法内,动物没有恢复自主循环,则宣布实验动物死亡。
动物实验研究中,所用的能量应至少包括制造商推荐的最低能量、推荐的最高能量以及推荐的某一个中间能量。实验组动物所用的推荐能量不应高于对照组动物所用的推荐能量。
除颤后,动物没有恢复自主循环则宣布实验动物死亡;当实验动物恢复自主节律后,进行监护,期间给予补充生理盐水。待实验动物生命体征稳定后,再次进行诱发室颤及进行除颤。达到每个模型的致颤次数之后处死动物,留取心脏和皮肤组织标本。
实验组和对照组之间的最大致颤-除颤模型的例次应相同。
研究人员应设计相应的实验记录表, 以记录实验过程和采集数据:
1.记录每次操作的医生姓名、记录人员,实验日期、开始时间、结束时间等。
2.记录实验动物的编号、实验动物的体重、实验动物的实验情况及监测数据等。
3.在实验过程中,记录诱发室颤的次数,每组室颤的一次除颤成功率及总体成功率;当动物模型处于基础状态及每次除颤后,抽取动脉血和静脉血,进行血液生化检查。
4.在实验过程中,观察并记录除颤充电放电、死机、抗干扰、放电后监护功能恢复等情况。
5.实验结束后,对实验操作部位进行观察和分析。动物心脏和皮肤组织应被完整切离并检查是否存在任何病变或损伤,进行皮肤组织标本和病理学检查、心脏组织标本和心肌病理学检查。
6.为保证数据的完整性,研究人员应将所有入组动物的基本信息和研究数据记录在中央计算机系统内,以备今后对其进行跟踪、核查。所有动物必须纳入分析。数据的剔除或偏移数据的处理必须有科学依据和详细说明。
(一)主要评价指标
1.安全性指标
a)心脏组织切片
检测病理变化,病理检查项目以心肌出血、变性、炎症、坏死和心肌断裂为主。
b)动脉和静脉血液生化检查
pO2、pCO2、pH、心肌酶谱(AST、CK-MB)、肌钙蛋白(cTnI)、肌红蛋白(MYO、Mb)。
2.有效性指标
首次除颤成功率、总体除颤成功率。
制造商应根据对照组产品的历史数据,确定首次除颤成功率、总体除颤成功率的具体数值。
(二)次要评价指标
1.皮肤灼伤程度评估;
2.皮肤组织病理;
3.受试产品运行情况及稳定性,如充电、放电、死机、失控等。
该研究分为基于成人模型的研究和基于小儿模型的研究,实验动物数量应保证结果分析具有统计学意义。
(一)基于成人模型的研究
假设对照组产品的首次除颤成功率和总体除颤成功率均为95%,非劣效界值为5%,当显著性水平取(双侧)0.05、检验效能80%,那么,该动物实验研究中,单组最少需要的致颤-除颤模型为300例次,两组最少需要的致颤-除颤模型为600例次,其中,最高、最低、中间能量各1/3。制造商应科学合理地确定每例实验动物的致颤次数,单组所用实验动物至少10头。
(二)基于小儿模型的研究
该研究的样本量应满足统计学要求。制造商应明确检验假设的方法、检验水准、检验效能、单侧或双侧检验,应基于对照组的首次除颤成功率、总体除颤成功率的历史数据,提供非劣效界值的选取理由。制造商应科学合理地确定每例实验动物的致颤次数,单组所用实验动物至少10头。
动物实验的方案和报告应详细说明统计方法、公式及依据。统计结论至少应满足非劣效性假设成立。
研究人员需对取得的动物实验数据进行最终的风险分析,按照安全性和有效性指标评价受试产品,得出动物实验结论。
附录4
本报告应确认体外除颤产品(简称“产品”)的适用范围。
一般来说,临床评价人员至少应具有以下知识:
1.产品的技术和临床应用;
2.研究方法,例如,文献质量评价,临床研究设计和生物统计,等等;
3.临床中利用产品进行治疗的相关工作经验。
制造商应将待评价体外除颤产品与一个或多个同品种体外除颤产品(以下简称“二者”)进行对比,证明二者之间基本等同。
制造商应详述二者的相同性和差异性,对差异性是否对产品的安全有效性产生不利影响,应通过申报产品自身的数据进行验证和/或确认,如申报产品的非临床研究数据、临床文献数据、临床经验数据、动物实验数据、针对差异性在中国境内开展的临床试验的数据。
(一)同品种体外除颤产品的对比项目
制造商应以相同的治疗模式、各治疗模式下相似的功能和性能指标为判定的基本出发点,按照表5进行同品种体外除颤产品的判定。
由于各治疗模式(手动模式、半自动模式和自动模式)的临床应用方法存在较大差异,不同的治疗模式不适宜作为同品种体外除颤治疗模式。

(二)除颤波形及其性能参数的对比
对于表5的第2项d)条中功能、性能指标的对比,制造商应提供二者的除颤波形及其性能参数的差异性研究资料,见本指导原则附录5。
按照本指导原则附录1,制造商应确定产品的风险和危害(尤其是剩余风险),然后参考系统综述的方法,遵循下述评价过程:
1.搜索临床数据,常见为临床文献数据和临床经验数据等;
2.评定临床数据的全面性、准确性、局限性、质量,筛选临床数据;
3.将高质量数据归纳成不同的数据集,分析每一个数据集,获得适用范围的证据。
4.得出临床评价结论。
制造商应在临床评价过程中纳入待评价产品和同品种产品的临床数据。
产品的相关临床数据可由制造商持有,例如:制造商进行的动物实验研究、上市前临床研究,现场使用数据的分析报告,上市后调查、研究和跟踪反馈信息,投诉和抱怨的分析和总结,不良事件报告以及纠正措施等数据;也可从临床文献中获得相关临床数据;或是上述二者之和。
(一)文献检索的基本要求
制造商应指派具有信息检索知识的人员进行上述工作,以便最大程度地获得相关信息。
制造商应综合地进行文献搜索和浏览,同时纳入有利的和不利的文献,并应控制文献的选择偏倚。
(二)通过文献检索获得临床数据
参考《医疗器械临床评价技术指导原则》附5、附6和附7,制造商应提出文件检索方案并形成文献检索报告。
制造商宜将同品种产品的关键词(例如,制造商、商品名称、产品名称、型号,等等)以及同品种产品的适用范围和禁忌症(见正文第三、条第(五)款)、关键技术特点及其性能指标(见正文第四、条第0款第1项)、危害和损害(附录1第四、条)相关信息作为检索词。
制造商应在文献检索和筛选方案说明文献的筛选标准,并应说明临床证据分级的评价方法,例如:推荐、评估、发展和评价分级工作组(the grading of recommendations assessment、development and evaluation working group, GRADE)评价系统,牛津循证医学中心制定的证据水平评价标准,等等。
评定临床数据的目的是了解临床数据的全面性、准确性、局限性以及质量。
临床评价人员应全面和彻底地评定临床数据。由于临床文献摘要无法提供全面内容并且缺乏足够的细节,临床评价人员不应仅根据临床文献摘要的内容来评定临床文献。
鉴于某些临床研究没有良好设计或者分析不充分,某些文献的数据不适合证明产品的临床性能,但仍含有适合证明产品临床安全性的数据。
临床评价人员应评估临床数据中研究方法的科学合理性(例如,防止潜在的数据偏倚)、报告的结果和结论的正确性,并且应针对文献中所陈述的观察结果,建议临床评价人员区分造成这一结果的原因是由于产品的作用还是由于其他的影响因素,例如:由于其他急救手段的原因(例如,通气、CPR,等等),或联合使用药物的结果,或是由于偏倚。
制造商可考虑产品所使用技术的水平和其研发背景。根据除颤器设计更改和变更的不同,如有恰当的理由,可采用经验数据进行分析。例如,对于在原有产品基础上进行递增修改或优化的产品,可能不需要进行临床试验,但是需要动物试验数据、临床文献或临床经验数据。
分析临床数据的目的是决定已经评定过的数据集能否充分地证明除颤器的临床安全性和性能。
根据数据类型、数据质量、评价目的的不同,将高质量数据归纳成不同的数据集,例如,临床研究数据集、投诉和不良事件数据集、与临床风险相关的纠正措施数据集、中国人群数据集等,分析每一个数据集,获得适用范围的证据。
分析临床数据的方法可使用定量分析或定性分析。
制造商在分析临床数据时应考虑下述方面:
1.对于每个被辨识出的危害,相关的风险分析和控制是否充分;
2.投诉和抱怨的分析和总结;
3.并发症和副作用的情况、纠正措施及其效果;
4.不良事件的情况,例如,不良事件的严重度、原因分析、纠正预防措施及其效果,不良事件的最终状态。
制造商应确定关键数据集(证明除颤器临床安全性和性能的数据集)并获得其结果,以便在除颤器性能指标及其风险之间获得一致性结论。
如果不同的数据集报告了相同的结果,这些临床数据所表明结论的必然性显著增加;如果不同的数据集提供了不同的结果,评价造成这些差异的原因对于评价除颤器的临床安全性和性能是有帮助的。
纳入分析的临床数据应以临床评价报告附件的形式提供。
制造商的临床评价报告应提出下述结论:待评价除颤器符合制造商的预期需求,其临床收益大于临床安全性风险,相关风险和副作用是可接受的。
如果制造商的临床证据尚不充足,无法得出上述评价结论,制造商应获得更多的临床数据(例如,进行动物实验或临床试验,扩大临床数据搜索的范围)。在这种情况下,临床评价是一个不断循环和迭代的过程。
临床评价报告应由制造商的相关负责人签署姓名和日期。
附录5
本研究应确认待评价体外除颤产品与同品种体外除颤产品除颤波形及其性能参数(以下简称“二者”)的差异性。
研究人员应全面考虑二者的除颤波形及其性能参数(见正文第四、条第0款第1项),例如:
双相波:所有能量级别和各级别的实际输出能量、第一相峰值电流、第一相平均电流、第一相电流平均斜率、第一相时间、两相间隔时间、第二相峰值电流、第二相平均电流、第二相电流平均斜率、第二相时间、放电时间常数,等等。
单相波:所有能量级别和各级别的实际输出能量、治疗时间、峰值电流、平均电流、波形斜率,等等。
研究人员应对比并综合考虑二者的病人阻抗测量范围和所有能量级别,应提供二者实际输出能量对比表,例如表6。
该研究设计为开放、平行、对照实验。以负载阻抗和能量级别为基本划分因素,该研究分为多组实验。
(一)所需设备
待评价体外除颤产品及其可选负载附件、同品种体外除颤产品及其可选负载附件、除颤器分析仪、ECG模拟器、示波器,等等。
(二)研究方法
在每组实验中,待评价体外除颤产品和同品种体外除颤产品分别在相同的负载阻抗下输出相同级别能量,研究人员采用除颤器分析仪等设备,测量每次输出除颤波形及其性能参数,重复上述过程至少50次。
研究人员应对每组实验获得的数据进行处理,在同一坐标系下描绘二者除颤波形的形态,例如,图4。

研究人员应统计分析每组实验获得的数据,提供二者除颤波形性能参数的统计分析结果,例如表7,并附每组实验的所有原始数据。
如果除颤波形的形态的对比图或二者除颤波形性能参数的统计分析结果明显不一致,那么二者在除颤波形及其性能参数方面具有显著的差异性,会对安全性和有效性产生不利影响。
如果除颤波形的形态的对比图或二者除颤波形性能参数的统计分析结果存在一定程度的差异性,研究人员应提出合理的方法进一步评价差异性对临床安全性和有效性的影响,必要时应进行动物实验或针对差异性在中国境内开展临床试验。
如果除颤波形的形态的对比图或二者除颤波形性能参数的统计分析结果高度一致,二者的差异性一般不会对产品的安全性和有效性产生不利影响。





附录6
临床试验研究应符合《医疗器械临床试验质量管理规范》(国家食品药品监督管理总局与中华人民共和国国家卫生和计划生育委员会令第25号)。
临床试验研究应获得伦理委员会批准,并且提供知情同意书,在有执业资格的医务人员监督下进行。
该临床研究目的是确认体外除颤治疗的安全性和有效性。
该临床研究设计为多中心、开放、对照试验,应提出非劣效性假设。
注册申请人应按照同一临床试验方案,在三个以上(含三个)临床试验机构实施的临床试验。
该临床研究应当有充分的科学依据,始终以保证受试者安全和最大利益为基本原则。临床研究人员应权衡对受试者和公众健康预期的受益以及风险,预期的受益应当超过可能出现的损害,临床研究过程应避免不适当的风险。
临床研究人员可能在下述情况中获得具有适应症的受试者:
1.正经受植入式除颤起搏器植入术或植入后随访电生理评价患者。作为植入式除颤起搏器正常试验协议的组成部分,在调整植入式除颤起搏器阈值时,可能出现该临床研究的适应症。
2.某些患者可能是潜在的高风险心脏病患者,可能会出现室性心动过速的症状,需要接受心脏负荷试验检查。在检查的过程中,患者可能出现该临床研究的适应症。
3.正在接受某些心外科手术的患者可能在术中出现心室颤动或室性心动过速症状。
4.实施体外循环的患者,当需进行心脏复苏时,可能需要进行胸外或者胸内除颤。
5.正在接受心脏介入手术的患者可能需要保护性的体外除颤。
6.重症室(CCU、ICU等)中的患者可能发生心脏骤停情况。
无论在上述哪种情况下,临床研究人员和注册申请人都应保证受试者的最大利益。如果受试者出现心室颤动或室性心动过速症状,试验组产品仅可进行一次除颤治疗。如果试验组产品没有除颤成功,临床研究人员应迅速采用后备的已上市体外除颤产品进行治疗。
该临床研究应同时包括发生诱发室颤和自发室颤的受试者,并明确发生自发室颤的受试者的最小例数或者占受试者总样本量的最低比例以及确定的理由。
1.出现心室颤动或血流动力学稳定的室性心动过速症状的患者。
2.本人或合法授权代表签署知情同意书。
3.受试者应愿意且能够遵守研究步骤。
1.可能因临床研究受到危害的受试者。
2.临床研究人员认为受试者不适宜继续进行试验可随时退出,受试者在试验全过程中可随时退出。
(一)主要评价指标:
1.有效性指标:
总体除颤成功率。
注册申请人应根据选择的适应症、患者入组情况、对照产品单次除颤成功率的历史数据,确定总体除颤成功率的具体数值。
(二)次要评价指标:
1.安全性指标:
a)CK、肌钙蛋白(cTnI)。
b)体外除颤治疗相关的不良事件。
2.皮肤灼伤程度评估;
3.试验产品运行情况及稳定性,如充电、放电、死机、失控等。
受试者数量应保证临床试验的结果分析具有统计学意义。注册申请人应明确检验假设的方法、检验水准、检验效能、单侧或双侧检验,并且注册申请人应基于对照组产品总体除颤成功率的历史数据,提供非劣效界值的选取理由。
统计分析报告应将所有中心的数据合并在一起进行统计分析,并在总的统计分析报告中对每一适应症进行统计分析描述。
(一)分析人群的确定
数据分析时应考虑数据的完整性,所有签署知情同意并使用了受试产品的受试者应纳入最终的统计分析。数据的剔除或在原始数据上所进行的任何处理必须有科学依据和详细说明。
临床试验的数据分析应基于不同的分析集,通常包括全分析集(Full Analysis Set,FAS)、符合方案集(Per Protocol Set,PPS)和安全集(Safety Set,SS),研究方案中应明确各分析集的定义。对于全分析集中的脱落病例,其主要研究终点的缺失值的填补方法应在方案中予以说明,建议采用不同的缺失数据截转方法进行灵敏度分析,以评价缺失数据对研究结果稳定性的影响,如末次数据结转法(Last Observation Carried Forward, LOCF)及最差值法(Worst Scenario Analyses)等。
主要研究终点指标的分析必须同时在全分析集和符合方案集上进行;当以上两种数据集的分析结论一致时,可以增强试验结果的可信性,当不一致时,应对其差异进行清楚的讨论和解释。如果符合方案集中被排除的受试者比例太大,则会影响试验的有效性分析。安全性指标的分析应基于安全集。
(二)分析方法的选择
临床试验数据的分析应采用国内外公认的统计分析方法。临床试验方案应当明确统计假设、统计检验的类型、检验假设。
对于主要研究终点,统计结果需采用点估计及相应的95%可信区间进行评价。
该临床研究中出现的任何不良事件,无论是预期的还是非预期的,均应如实记录和报告,并由临床专家分析原因、判断其与器械的关系。对于严重不良事件,按照法规要求及时上报;同时临床研究人员应当及时做出临床判断,采取措施,保护受试者利益;必要时中止临床研究。不良事件应作为结果变量参加临床研究的统计分析。
为保证数据的完整性和受试者的安全,以备今后对其进行跟踪、核查,该临床研究人员应将所有入组受试者的基本信息和研究数据记录在中央计算机系统内,以备今后对其进行跟踪、核查。所有签署知情同意书并使用了试验组的受试者必须纳入分析。数据的剔除或偏移数据的处理应有科学依据和详细说明。
附录7
临床试验研究应符合《医疗器械临床试验质量管理规范》(国家食品药品监督管理总局与中华人民共和国国家卫生和计划生育委员会令第25号)。
临床试验研究应获得伦理委员会批准,并且提供知情同意书,在有执业资格的医务人员监督下进行。
临床试验研究应始终以保证安全和受试者利益为基本原则,研究过程应避免不适当的风险。
该临床研究目的是确认心脏节律识别器的安全性和有效性。
该临床研究设计为多中心、开放、单组试验,注册申请人应在方案设计阶段预先指明单组目标值。
注册申请人应按照同一临床试验方案,在三个以上(含三个)临床试验机构实施的临床试验。
1.具有心脏节律识别适应症的患者(见正文第四、条第0款第2项);
2.本人或合法授权代表签署知情同意书;
3.受试者应愿意且能够遵守研究步骤;
1.可能因临床研究受到危害的受试者。
2.试验者认为受试者不适宜继续进行试验可随时退出,受试者在试验全过程中可随时退出。
(一)主要评价指标:
可电击心律和非可电击心律分析的敏感性、特异性。
(二)次要评价指标:
试验组产品运行情况及稳定性,如提示情况、死机、失控等。
受试者数量应保证结果分析具有统计学意义。
根据临床要求,该临床研究的目标值不得低于92%,假设试验组性能指标为95%,则当显著性水平取(双侧)0.05、检验效能80%,按统计学原则计算得到,试验中最少需要的受试者数为200例。
应根据心脏节律识别器的敏感性和特异性计算样本量,但应符合上述最低例数要求。
统计分析报告应将所有中心的数据合并在一起进行统计分析,并在总的统计分析报告中对每一治疗模式及其适应症进行统计分析描述。
(一)分析人群的确定
数据分析时应考虑数据的完整性,所有签署知情同意并使用了受试产品的受试者必须纳入最终的统计分析。数据的剔除或在原始数据上所进行的任何处理必须有科学依据和详细说明。
临床试验的数据分析应基于不同的分析集,通常包括全分析集(Full Analysis Set,FAS)、符合方案集(Per Protocol Set,PPS)和安全集(Safety Set,SS),研究方案中应明确各分析集的定义。对于全分析集中的脱落病例,其主要研究终点的缺失值的填补方法应在方案中予以说明,建议采用不同的缺失数据截转方法进行灵敏度分析,以评价缺失数据对研究结果稳定性的影响,如末次数据结转法(Last Observation Carried Forward, LOCF)及最差值法(Worst Scenario Analyses)等。
主要研究终点指标的分析必须同时在全分析集和符合方案集上进行;当以上两种数据集的分析结论一致时,可以增强试验结果的可信性,当不一致时,应对其差异进行清楚的讨论和解释。如果符合方案集中被排除的受试者比例太大,则会影响试验的有效性分析。安全性指标的分析应基于安全集。
(二)分析方法的选择
临床试验数据的分析应采用国内外公认的统计分析方法。临床试验方案应当明确统计假设、统计检验的类型、检验假设。
对于主要研究终点,统计结果需采用点估计及相应的95%可信区间进行评价。通过将影响心脏节律识别器敏感性和特异性的95%可信区间与方案中预先指明的具有临床意义的目标值进行比较,从而判断受试产品是否满足方案提出的假设。
该临床研究中出现的任何不良事件,无论是预期的还是非预期的,均应如实记录和报告,并由临床专家分析原因、判断其与器械的关系。对于严重不良事件,按照法规要求及时上报;同时临床研究人员应当及时做出临床判断,采取措施,保护受试者利益;必要时中止临床研究。不良事件应作为结果变量参加临床研究的统计分析。
为保证数据的完整性和受试者的安全,以备今后对其进行跟踪、核查,该临床研究人员应将所有入组受试者的基本信息和研究数据记录在中央计算机系统内,以备今后对其进行跟踪、核查。所有签署知情同意书并使用了试验组的受试者必须纳入分析。数据的剔除或偏移数据的处理应有科学依据和详细说明。

站点声明
本网站所提供的信息仅供参考之用,并不代表本网赞同其观点,也不代表本网对其真实性负责。图片版权归原作者所有,如有侵权请联系我们,我们立刻删除。如有关于作品内容、版权或其它问题请于作品发表后的30日内与本站联系,本网将迅速给您回应并做相关处理。
                          郑州思途医疗科技有限公司专注于医疗器械产品政策与法规规事务服务,提供产品注册备案申报代理、临床试验、体系建立辅导、分类界定、申请创新办理服务。
        为深入贯彻落实中共中央办公厅、国务院办公厅印发的《关于深化审评审批制度改革鼓励药品医疗器械创新的意见》(厅字〔2017〕42号),按照国家药品监督管理局《关于扩大医疗器械
        为规范医疗器械注册人跨区域委托生产的监督管理,推进长江三角洲区域医疗器械跨区域监管,根据《中共中央办公厅国务院办公厅关于深化审评审批制度改革鼓励药品医疗器械创新的意见》《
        附件:血液透析用水处理设备注册审查指导原则(2024年修订版)(2024年第19号).doc血液透析用水处理设备注册审查指导原则(2024年修订版)本指导原则旨在指导注册申请人对血液透析用水处理设备注册申报资料的准备及撰写,同时也为技术审评部门提供参考。本指导原则是对血液透析用水处理设备的一般要求,注册申请人依据产品的具体特性确定其中内容是否适用。若不适用,要具体阐述理由及相应的科学依据,并依据产
        为加强医疗器械生产监督管理,规范医疗器械生产质量管理,根据《医疗器械监督管理条例》(国务院令650号)、《医疗器械生产监督管理办法》(国家食品药品监督管理总局令第7号)
        本指导原则旨在帮助和指导注册申请人对一次性使用腹部穿刺器注册申报资料进行准备,以满足技术审评的基本要求。同时有助于审评机构对该类产品进行科学规范的审评,提高审评工
        附件:一次性使用医用冲洗器产品注册审查指导原则(2022年第41号).doc一次性使用医用冲洗器产品注册审查指导原则本指导原则旨在指导注册申请人对一次性使用医用
        国家市场监督管理总局令 第47号 《医疗器械注册与备案管理办法》已经2021年7月22日市场监管总局第11次局务会议通过,现予公布,自2021年10月1日起施行。 附件: 医疗器械注册与备案管
        国家药监局器审中心关于发布影像型超声诊断设备(第三类)注册审查指导原则(2023年修订版)的通告(2024年第29号)发布时间:2024-10-14为进一步规范
        国家药监局药审中心关于发布《抗肿瘤药物临床试验中SUSAR分析与处理技术指导原则》的通告(2024年第42号) 发布日期:20241010
        附件:重组胶原蛋白创面敷料注册审查指导原则(2023年第16号).doc重组胶原蛋白创面敷料注册审查指导原则本指导原则旨在指导注册申请人准备及撰写重组胶原蛋白创
行业资讯
知识分享
八年
医疗器械服务经验
联系思途,免费获得专属《落地解决方案》及报价
咨询相关问题或咨询报价,可以直接与我们联系
思途CRO——医疗器械注册临床第三方平台
